网站首页  词典首页


请输入您要查询的字词:

 

字词 苏联棉分级标准
类别 中英文字词句释义及详细解析
释义 苏联棉分级标准

苏联棉分级标准是以棉纤维的内在质量为依据。

也是以物理性能分级的主要国家及代表性国家之一。其以棉纤维物理性能即强力、成熟度为主划分等级的首创国家。

按强力、成熟度分为7个级,即特级(O级)、Ⅰ级、Ⅱ级、Ⅲ级、Ⅳ级、Ⅴ级、Ⅵ级,对每个级均规定出明确的指标,如下表所示:

苏联棉纤维长度,分为相差1毫米的各种长度,如下所示:

每批皮棉,应按扣补水杂含量后的条件重量验收。

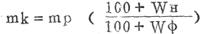
条件重量mk(公斤)即为扣补水分、杂质后的重量,可按下式计算出:

式中,mp为棉纤维计算重量(公斤),WΦ为实际回潮率(%),WH为标准回潮率(%)。

棉纤维的计算重量mp按下式计算:

mp=MΦ-M′

式中,mΦ为按实际回潮率折算的棉纤维实际重量(公斤),m′为依据皮棉的疵点及尘杂率对整批皮棉应扣补的重量(公斤),εΦ为皮棉的实际疵点及尘杂含量(%),εp为皮棉的疵点及尘杂含量的计算标准(%)。

计算精度要求到小数点后第一位,并将余数进为整数。

随便看

 

离鸟网收录3541549条中英文词条,其功能与新华字典、现代汉语词典、牛津高阶英汉词典等各类中英文词典类似,基本涵盖了全部常用中英文字词句的读音、释义及用法,是语言学习和写作的有利工具。

 

Copyright © 2004-2024 vtrois.com All Rights Reserved
更新时间:2026/4/17 20:41:21