网站首页  词典首页


请输入您要查询的字词:

 

字词 苄星氯唑西林
类别 中英文字词句释义及详细解析
释义 苄星氯唑西林

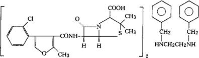
(C19H18ClN3O5S)2·C16H20N2=1112.11

CAS-23736-58-5

CAS-61-723(cloxacillin)

[2S-(2α,5α,6β)]-6-[[[3-(2-氯苯基)-5-甲基-4-异噁唑基]羰基]氨基]-3,3-二甲基-7-氧代-4-硫杂-1-氮杂双环[3.2.0]庚烷-2-羧酸与N,N′-双(苯基甲基)-1,2-乙胺二胺的化合物。

6-[[[-3-(2-Chlorophenyl)-5-methyl-4-isoxazolyl]carbonyl]amino]-3,3-dimethyl-7-oxo-4-thia-1-azabicyclo[3.2.0]heptane-2-carboxylicacid[2S-(2α,5α,6β)-,compound with N,N′-bis(phenylmethyl)-1,2-ethanediamine(2∶1).

(2S,5R,6R)-6-[3-(邻-氯苯基)-5-甲基-4-异噁唑甲酰胺基]-3,3-二甲基-7-氧代-4-硫杂-1-氮杂双环[3.2.0]庚烷-2-羧酸与N,N-二苄基乙二胺(2∶1)。

(2S,5R,6R)-6-[3-(o-Chlorophenyl)-5-methyl-4-isoxazolecarboxamido]-3,3-dimethyl-7-oxo-4-thia1-azabicyclo[3.2.0]heptane-2-carboxylic acid compound with N,N′-dibenzylethylenediamine(2∶1).

抗生素类药。

苄星邻氯青霉素。

Cloxacillin Benzathine.

INN & BAN(C10xacillin),USAN,USP.

随便看

 

离鸟网收录3541549条中英文词条,其功能与新华字典、现代汉语词典、牛津高阶英汉词典等各类中英文词典类似,基本涵盖了全部常用中英文字词句的读音、释义及用法,是语言学习和写作的有利工具。

 

Copyright © 2004-2024 vtrois.com All Rights Reserved
更新时间:2026/4/17 23:04:02