网站首页  词典首页


请输入您要查询的字词:

 

字词 花叶假杜鹃红豆蔻
类别 中英文字词句释义及详细解析
释义 花叶假杜鹃红豆蔻

【名称出处】:广州空军《常用中草药手册》

【概况】:

异名 刺血红、七星剑、血路草(广州空军《常用中草药手册》)。

基源 为爵床科假杜鹃属植物花叶假杜鹃的全株。假杜鹃属植物全世界约230种;中国有3种,均可药用。

原植物 花叶假杜鹃Barleria lupulina Lindl.

形态 灌木,高约2m。茎多分枝。

叶对生,披针形或卵状披针形,长4~8cm,顶端渐尖,基部楔形,全缘,两面有白色柔毛;叶柄短,叶柄基部有一对向下倾斜的针刺,紫红色。穗状花序顶生或腋生;花黄色;苞片大;萼片4,成对,外面一对最大;花冠长,5裂。蒴果。花期夏秋。

(图见《中药大辞典》.上册.2169条图)

生境与分布 生于山谷湿地村旁,或于园圃中栽培。分布广东、广西。

。【生药】:

采集 全年可采。

【化学】:

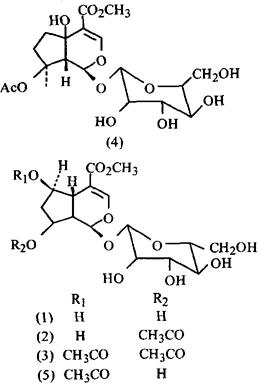
地上部分含多种环烯醚萜甙类:山栀甙甲酯(Shanzhiside methy ester)(1)、假杜鹃精(Barlerin,8-O-Acetylshanzhiside methyl eter)(2)、乙酰假杜鹃精(Acetylbarlerin,6,8-O,O-Diacetylshanzhiside methyl enter)(3)[1],少量的Ipolamidoside(4)和新化合物氧乙酰山栀甙甲酯(OAcetylshanzhiside methyl eter)(5)[2]

参考文献 [1] J Nat prod 1986;49(1):179 [2] Aust J Chem 1987;40(5):785

【药性】:

性味 辛、苦,温。

功效 通经活络,解毒消肿。

主治 毒蛇咬伤,犬咬伤,跌打损伤,痈肿,外伤出血。

用法用量 内服:煎汤,6~9g。

外用:捣敷。

使用注意 孕妇忌服。

【临床应用】:

单方应用 《全国中草药汇编》:“治毒蛇咬伤,犬咬伤,跌打损伤,痈肿,外伤出血:花叶假杜鹃6~9g,内服。孕妇忌服。外用适量,鲜叶捣烂敷患处。

随便看

 

离鸟网收录3541549条中英文词条,其功能与新华字典、现代汉语词典、牛津高阶英汉词典等各类中英文词典类似,基本涵盖了全部常用中英文字词句的读音、释义及用法,是语言学习和写作的有利工具。

 

Copyright © 2004-2024 vtrois.com All Rights Reserved
更新时间:2026/4/18 17:43:20