网站首页  词典首页


请输入您要查询的字词:

 

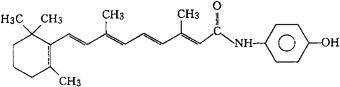
字词 芬维A胺
类别 中英文字词句释义及详细解析
释义 芬维A胺

C26H33NO2=391.55

CAS-65646-68-6

N-(4-羟苯基)视黄酰胺。

N-(4-Hydroxyphenyl)-retinamide.

全-反式-4′-羟视黄酰苯胺。

all-trans-4′-Hydroxyretinanilide.

肿瘤预防药。

Fenretinide,McN-R-1967.

INN,USAN.

随便看

 

离鸟网收录3541549条中英文词条,其功能与新华字典、现代汉语词典、牛津高阶英汉词典等各类中英文词典类似,基本涵盖了全部常用中英文字词句的读音、释义及用法,是语言学习和写作的有利工具。

 

Copyright © 2004-2024 vtrois.com All Rights Reserved
更新时间:2026/4/18 14:00:09