网站首页  词典首页


请输入您要查询的字词:

 

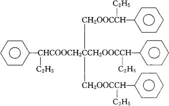
字词 芬立曲尔
类别 中英文字词句释义及详细解析
释义 芬立曲尔

C45H52O8=720.90

CAS-15301-67-4

四个(2-苯丁酸)季戊四醇。

Pentaerythritol tetrakis(2-phenylbutyrate).

新戊烷四基2-苯基丁酸酯。

Neopentanetetrayl 2-phenylbutyrate.

降胆固醇药,降血脂药。

苯丁戊四酯。

Feneritrol,SD149-01.

INN,DCF,USAN.

随便看

 

离鸟网收录3541549条中英文词条,其功能与新华字典、现代汉语词典、牛津高阶英汉词典等各类中英文词典类似,基本涵盖了全部常用中英文字词句的读音、释义及用法,是语言学习和写作的有利工具。

 

Copyright © 2004-2024 vtrois.com All Rights Reserved
更新时间:2026/4/18 3:39:46