网站首页  词典首页


请输入您要查询的字词:

 

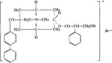
字词 芬托溴铵
类别 中英文字词句释义及详细解析
释义 芬托溴铵

C31H34BrNO4=564.52

CAS-5868-06-4

3α-羟-8-(对-苯基苯乙酰)-1αH,5αH-托烷鎓(-)-托品酸溴化物。

3α-Hydroxy-8-(p-phenylphenacyl)-1αH,5αH-tropanium bromide(-)-tropate.

8-[2-(1,1-联苯)-4-基-2-氧代乙基]-3-(3-羟-1-氧-2-苯基丙氧)-8-甲基-8-氮鎓双环[3,2,1]辛烷溴化物。8-[2-(1,1-Bipenyl)-4-yl-2-oxoethyl]-3-(3-hydnoxy1-oxo-2-phenylpropoxy)-8-methyl-8-azoniabicyclo[3,2,1]-octane bromide.

抗胆碱药,解痉药,抗溃疡药。

Fentonium Bromide,Z 326,Fa 402,Dicasten,Fensketilium,Icifen,Ketoscilium,UIcesium,Ulgesium,

INN,USAN,MI.

随便看

 

离鸟网收录3541549条中英文词条,其功能与新华字典、现代汉语词典、牛津高阶英汉词典等各类中英文词典类似,基本涵盖了全部常用中英文字词句的读音、释义及用法,是语言学习和写作的有利工具。

 

Copyright © 2004-2024 vtrois.com All Rights Reserved
更新时间:2026/4/18 21:11:26