网站首页  词典首页


请输入您要查询的字词:

 

字词 芬哈孟
类别 中英文字词句释义及详细解析
释义 芬哈孟

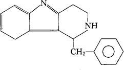
C18H18N2=262.35

CAS-3851-30-7

1-苄基-2,3,4,9-四氢-1H-吡啶并[3,4-b]吲哚。

1-Benzyl-2,3,4,9-tetrahydro-1H-pyrido[3,4-b]indole.

安定药。

Fenharmane.

INN,USAN.

随便看

 

离鸟网收录3541549条中英文词条,其功能与新华字典、现代汉语词典、牛津高阶英汉词典等各类中英文词典类似,基本涵盖了全部常用中英文字词句的读音、释义及用法,是语言学习和写作的有利工具。

 

Copyright © 2004-2024 vtrois.com All Rights Reserved
更新时间:2026/4/21 14:14:13