网站首页  词典首页


请输入您要查询的字词:

 

字词 艾地司特
类别 中英文字词句释义及详细解析
释义 艾地司特

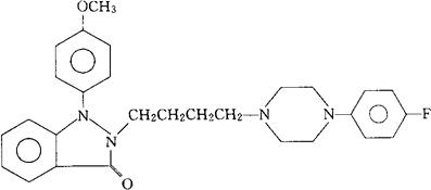
C28H31FN4O2=474.58

CAS-108674-88-0

2-[4-[4-(对-氟苯基)-1-哌嗪基]丁基]-1-(对-甲氧苯基)-3-吲唑啉酮。

2-[4-[4-(p-Fluorophenyl)-l-piperazinyl]butyl]-1-(p-methoxyphenyl)-3-indazolinone.

抗过敏药。

Idenast.

INN,USAN.

随便看

 

离鸟网收录3541549条中英文词条,其功能与新华字典、现代汉语词典、牛津高阶英汉词典等各类中英文词典类似,基本涵盖了全部常用中英文字词句的读音、释义及用法,是语言学习和写作的有利工具。

 

Copyright © 2004-2024 vtrois.com All Rights Reserved
更新时间:2026/4/17 16:18:13