网站首页  词典首页


请输入您要查询的字词:

 

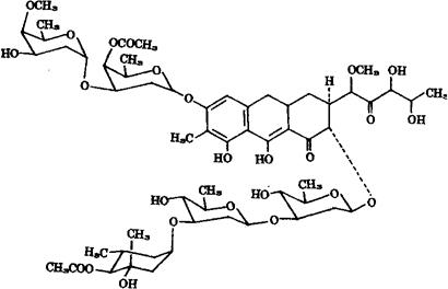
字词 色霉素A↓(3
类别 中英文字词句释义及详细解析
释义 色霉素A↓(3

C57H82O26=1183.26

3β-O-(4-O-乙酰-2,6-二脱氧-3-C-甲基-α-L-阿拉伯吡喃己糖基)-7-甲基橄榄霉素D。

3β-O-(4-O-Acetyl-2,6-dideoxy-3-C-methyl-α-L-arabino-hexopyranosyl)-7-methylolivomycin D.

抗菌药,抗肿瘤药。

东洋霉素,阿布拉霉素B。

Chromomycin A3,Toyomycin,Aburamycin B.

MI.

随便看

 

离鸟网收录3541549条中英文词条,其功能与新华字典、现代汉语词典、牛津高阶英汉词典等各类中英文词典类似,基本涵盖了全部常用中英文字词句的读音、释义及用法,是语言学习和写作的有利工具。

 

Copyright © 2004-2024 vtrois.com All Rights Reserved
更新时间:2026/4/21 3:02:26