网站首页  词典首页


请输入您要查询的字词:

 

字词 舒苯达唑
类别 中英文字词句释义及详细解析
释义 舒苯达唑

C10H5C13N4S3=383.72

CAS-54340-66-8

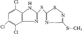
4,5,7-三氯-2-[[3-(甲基硫)-1,2,4-噻二唑-5-基]硫代]苯并咪唑。

4,5,7-Trichloro-2-[[3-(methylthio)-1,2,4-thiadiazol-5-yl[]thio]benzimidazole.

抗蠕虫药。

Subendazole,CB 12592.

INN,DCF,USAN.

随便看

 

离鸟网收录3541549条中英文词条,其功能与新华字典、现代汉语词典、牛津高阶英汉词典等各类中英文词典类似,基本涵盖了全部常用中英文字词句的读音、释义及用法,是语言学习和写作的有利工具。

 

Copyright © 2004-2024 vtrois.com All Rights Reserved
更新时间:2026/4/19 3:47:42