网站首页  词典首页


请输入您要查询的字词:

 

字词 舒拉珠利
类别 中英文字词句释义及详细解析
释义 舒拉珠利

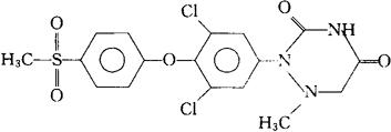
C17H15Cl2N3O5S=444.29

CAS-108358-89-5

2-[3,5-二氯-4-[对-(甲磺酰)苯氧]苯基]二氢-1-甲基-非对称-三嗪-3,5-(2H,4H)-二酮。

2-[3,5-Dichloro-4-[p-(methylsulfonyl)phenoxy]phenyl]dihydro-1-methyl as-triazine-3,5-(2H,4H)-dione.

抗寄生虫药。

Sulazuril.

INN,USAN.

随便看

 

离鸟网收录3541549条中英文词条,其功能与新华字典、现代汉语词典、牛津高阶英汉词典等各类中英文词典类似,基本涵盖了全部常用中英文字词句的读音、释义及用法,是语言学习和写作的有利工具。

 

Copyright © 2004-2024 vtrois.com All Rights Reserved
更新时间:2026/4/18 7:47:56