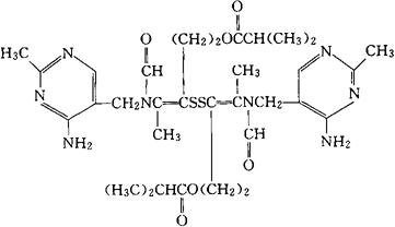
舒布硫胺
C32H46N8O6S2=702.89 CAS-3286-46-2 N,N′-[二硫代双[2-(2-羟乙基)-1-甲基亚乙烯基]]双[N-[(4-氨基-2-甲基-5-嘧啶基)甲基]甲酰胺]二异丁酸酯。 N。N′-[Dithiobis[2-(2-hydroxyethyl)-1-methylvinylene]]bis[N-[(4-amino-2-methyl-5-pyrimidinyl)methyl]formamide]diisobutyrate(ester). 抗抑郁药。 Sulbutiamine. INN,USAN.  |