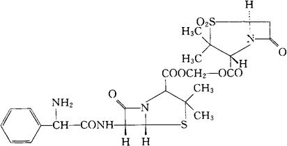
舒他西林
C25H30N4O9S2=594.65 CAS-76497-13-7 羟甲基(2S,5R,6R)-6-[(R)-(2-氨基-2-苯乙酰胺基)]-3,3-二甲基-7-氧代-4-噻-1-氮杂双环[3.2.0]庚烷-2-羧酸,(2S,5R)-3,3-二甲基-7-氧-4-噻-1-氮杂双环[3.2.0]庚烷-2-羧酸(酯)S,S-二氧化物。 Hydroxymethyl(2S,5R,6R)-6-[(R)-(2-amino-2-phenylacetamido)]-3,3-dimethyl-7-oxo-4-thia-l-azabicyclo[3.2.0]heptane-2-carboxylate,(2S,5R)-3,3-dimethyl-7-oxo-4-thia-1-azabicyclo[3.2.0]heptane2-carboxylate(ester)S,S-dioxide. 抗生素类药。 舒氨苄西林。 Sultamicillin. INN,BAN,USAN.  |