网站首页  词典首页


请输入您要查询的字词:

 

字词 臭草
类别 中英文字词句释义及详细解析
释义 臭草

【名称出处】:《纲目拾遗》

【概况】:

异名 芸香(《彩色生草药图谱》),臭艾(《广西中药志》)

基源 为芸香科芸香属植物芸香的全草。

芸香属全世界约4种;中国1种,为引进的栽培种。

原植物 芸香Ruta graveolens L.

历史 臭草最早载于《图经本草》谓:“云实生河间川谷,高五六尺,叶如槐而狭长,枝上有刺,苗名臭草。”后《纲目》加以引用,“云实,释名臭草。”以上所指均属豆科中的云实,非芸香科中的芸香。

现代一些药学著作中,将《纲目》上的臭草,认作芸香科中的芸香,看来是错误的。芸香药名臭草,最早见于《纲目拾遗》谓:“泰西既产香草,复产臭草,虽重不同莸,效用则一,其本高尺余,开小黄花,摘花蕊阴干待用,与叶同功,结子成实,裂分四房,每房子数粒。”《生草药性备要》亦有类似记载。17世纪末,《印度支那植物志》(Flora Cochinchinensis)曾载有中国栽培芸香,土名臭草(Sao Tsao)。

由此可见芸香引入中国栽培,当在17世纪以前。

形态 具强烈气味的多年生草本,高达1m左右。茎基部有时木质化,茎枝及叶呈蓝绿色,上有腺点。叶互生,二~三回羽状复叶,无毛,具腺点,深裂或劈裂,长6~12cm;羽片倒卵状长圆形或倒卵状匙形,全缘,蓝青色。

伞房花序或圆锥花序,顶生,花金黄色;萼片4~5裂,细小,宿存;花瓣4~5,覆瓦状排列,内拱,边缘细撕裂成须状体;雄蕊8,长短相间,开花初期与花瓣对生的4枚,贴伏于花瓣壁上,与萼片对生的4枚,则斜出而外露且较长,花盛开时,全部雄蕊并列一起;花盘有腺点;花柱短,子房通常4室。蒴果,4浅裂,成熟时顶部开裂或全裂;种子起棱,果皮有瘤状凸体。

花期3~6月,果期6~8月。(图见《秦岭植物志》.第1卷.3册.133页.图110)

生境与分布 栽培植物,中国南部很常见,长江以北,多栽培于温室。

世界各国亦有栽培。

。【生药】:

栽培 芸香适应性较强,宜温暖,能耐寒。

对土壤要求不严。用种子繁殖,春、秋两季播种,按行株距50×33cm开穴点播,每亩用种量0.5~0.75kg。播后盖上细土或草木灰,浇水保湿。苗高7~10c:m时,结合松土除草进行间苗、补苗,每穴留苗3~4株。

生长期中用人畜粪水追肥2~3次。栽种3~4年后,应翻蔸换地。

虫害蚜虫、橘黑黄凤蝶幼虫,可喷射90%晶体敌百虫1000倍液。

采集 夏、秋二季开花前割取地上部分,凉干或晒干。

药材产于四川、云南、贵州。

鉴别

性状 草质茎纤弱,长40~110cm,表面灰绿色或深绿色,有时带紫色,节部膨大,质脆易折断。叶片狭线形,长30~70cm,宽1~6mm,叶鞘抱茎,基部者常破裂,离茎内卷,上部叶鞘短于节间,叶舌钝圆,长2~4mm,膜质。有特异香气,味辛辣,嚼之有麻舌清凉感。

以色灰绿、粗壮、叶多、香气浓烈者为佳。

显微 茎横切面:表皮为1列类方形薄壁细胞。下皮纤维5~7列细胞,壁厚,木化,间有小型禾本科式维管束数个成轮状排列。

中柱内维管束2~3轮,维管束禾本科型,维管束周围有1~2列纤维形成纤维束鞘。髓部宽广。(图见《中药志》.第4册.第2版.409页.图409)

叶表面观:上表皮细胞为轴向延长的4~6边形,长48~86μm,宽20~38μm,叶脉处由长、短两种表皮细胞纵向间隔排列而成,短细胞部位有单细胞非腺毛。下表皮细胞长方形,宽约12μm,叶脉处表皮细胞有长短两种,纵向间隔排列,垂周壁波状弯曲,短细胞处常见毛茸和气孔;非腺毛二种:单细胞毛长约28μm,2个细胞的毛长约58μm;气孔为禾本科型,仅见于下表皮。(图见同上409页.图411.412)

贮藏 置阴凉干燥处。

。【化学】:

含挥发油、生物碱、黄酮类、香豆素类化合物。

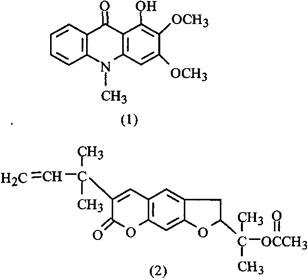
挥发油类有:壬酮-2、十一酮-2、壬醇-2、十一醇-2和它们的乙酸酯,桉油精、α-和β-蒎烯、芳樟醇、茨烯、樟脑烯、柠檬烯、对聚伞烃、癸酮-2、2-十一烷基-2-甲基丁酯(2-Undecyl-2-methylbutyrate)、2-十一烷基3-甲基丁酸酯(2-Undecyl 3-methylbutyrate)、盖介烯(Geijerene)、前盖介烯(Pregeijerene)、异盖介烯(Isogeijerene)[1,2,3]。生物碱有:芸香碱(Graveoline)、香草木宁碱(Kokusaginine)、茵芋碱(Skimmianine)[3]、6-甲氧基白鲜碱(6-Methoxydictamnine)、加锡弥罗果碱(Edulinine)、山小橘碱(Arborinine)(1)、γ-崖椒碱(γ-Fagarine)[5]、芸香宁碱(Graveolinine)[6]、芸香吖啶酮(Rutacridone)[7]、N-甲基扁芸香碱(N-Methylplaty-desmine)、日巴里尼定(Ribalinidin)、芸香里尼定(Rutalinidin)和它们的季铵离子[8]、2-[4-(3,4-甲二氧基苯)丁基]-4-喹诺酮[9]、芸香吖啶酮二醇(Gravacridonediol)及其甲醚、芸香吖啶酮氯(Gravacridonechlorine)、芸香吖啶酮醇氯(Gravacridonol-chlorine)[11]、白鲜胺(Dictamine)[12]

香豆素类化合物有20多种:补骨脂素(Psoralen)、花椒毒素(Xanthotoxin)、东莨菪素、异虎耳草素、芸香苦素(Rutamarin)(2)[4]、芸香枯亭(Rutacultin)、芸香扔(Rutarin)、异欧芹属素乙、潘当归素(Pangelin)、芸香酚内酯(Gravelliferone)、繸状芸香素(Chalepenin)、二甲烯丙基脱肠草素(3-(1,1-Dimethyllallyl)hemiarin)、白当归素、芸香马扔醇、印度楹桲素(Marmesin)、印度榅桲甙、苏北壬酮(Suberenon)、桧脂素(Savinin)[1]、芸香内酯甲醚(Gravelliferone methyl ether)[14]、异欧前胡素(Isoimpera torin)[15]、伞形花内酯(Umbelliferone)[17]、花椒内酯(Xanthyletin)[18]、香柑内酯(Bergapton)[13,19]。尚有芸香甙(Rutin)、大黄酸(Rhein)等有机化合物[1]

参考文献 [1] 中药大辞典.下册.上海人民出版社,1977:1886 [2] 新华本草纲要.第2册.上海科学技术出版社,1991:257 [3] CA 1961;55:8766f [4] CA 1971;75:16134f [5] CA 1967;67:102711h [6] CA 1963;58:6875g [7] CA 1968;68:39861k [8] CA 1973;79:15853k [9] CA 1968;68:39860z;68:10193h [10] CA 1972;77:58805x [11] CA 1972;77:98795a [12] Planta Med 1965;13(1):48;1969,17(2):116 [13] CA1966;64:6404b [14] Tetrahedron Lett 1968;(41):4395 [15] CA 1974;80:130487b [16] Phytochernistry 1971;10(1):191;[17] CA 1971;75:16134f [18] CA 1969;71:19544f [19] J Chem Ecol 1991;17(9):1801。【药理】:

❶ 抗肿瘤作用 花椒内酯(Xanthyletin)对HeLa细胞有抑制作用,其ID50为10μg/ml,芸香苦素(Rutamarin)的ID50为0.1μg/ml,芸香苦素52~40μg/ml,浓度依赖性地抑制小鼠艾氏腹水癌细胞DNA、RNA及蛋白质的合成[1]

❷ 抗菌作用 花椒毒素(Xanthatoxin)100μg/ml,对人型结核杆菌有抑制作用[2]。伞形花内酯(Umbelliferone)65ppm浓度,对大肠杆菌、枯草杆菌有抑制作用[3]
❸ 光敏作用 花椒毒素有光敏作用,20mg给人po,连续2mo,可使紫外线照射部位的皮肤产生色素沉著[4]。花椒毒素或补骨脂素(Psorulen)的丙酮溶液以2.5μg/cm2涂于豚鼠皮肤并给以光照,可致皮肤红斑[5]

补骨脂素18.7μg/ml(10-6mol/L)浓度,有增强光照抑制DNA病毒的作用[6]
❹ 解痉作用 山小橘碱1×10-5、芸香苦素5×10-6浓度,对乙酰甲胆碱(Methacholine)或氯化钡引起的大鼠离体胃底和大鼠、豚鼠、兔的离体回肠痉挛有解痉作用[7]

毒性 花椒毒素im对大鼠的LD50为160mg/kg,中毒时出现强直或阵挛性惊厥,胃肠道炎症,右心充血,死亡常由于呼吸衰竭的缘故,慢性毒性则出现胃肠道刺激、腹泻,脾和肾上腺出血,肝坏死等[8]。补骨脂素sc对小鼠的LD50为480mg/kg,po的LD50为625mg/kg,po的LD100为1250mg/kg;po对大鼠的LD50、LD100分别为830及1330mg/kg[9]

参考文献 [1] Phanta Med 1977;31(4):351 [2] CA 1957;51:10736a [3] Phytochemistry 1976;15(6):1078 [4] Science 1958;127:878 [5] Experientia 1967;23(12):985 [6] Experientia 1965;21(1):22 [7] Planta Med 1979;37(2):156 [8] CA 1961;55:22588h [9] CA 1965;63:6217a

。【药性】:

性味 苦、辛,寒。

❶ 《生草药性备要》:“苦,寒。”
❷ 《本草求原》:“苦、辛,寒。”

功效 祛风,退热,利尿,活血,解毒,消肿。

主治 感冒发热,风湿骨痛,小儿惊风,小便不利,泄泻,疝气,妇女经闭,跌打损伤,热毒疮疡,湿疹。

❶ 《生草药性备要》:“消百毒肿,散大疮,理蛇伤。”
❷ 《南宁市药物志》:“退热祛风,利尿消肿。治小儿发热惊风,风湿骨痛。”
❸ 《广西中药志》:“治瘴疟,热毒疮疡及一切跌打损伤。外敷蜈蚣咬伤。”
❹ 《中国药用植物图鉴》:“治经闭不调,疝痛。”
❺ 《广西植物名录》:“祛风解毒,凉血散瘀。治感冒发热,月经不调,衄血,牙痛,疖肿,蛇咬伤。

用法用量 内服:煎汤,3~9g。外用:捣敷、捣汁调敷或塞鼻。

使用注意 《广西中药志》:“孕妇忌服。”。

【临床应用】:

单方应用 ❶ 《福建民间草药》:“治小儿惊风:鲜臭草15~21g,酌冲开水炖服,一般日服2次。”
❷ 《纲目拾遗》:“治泄泻及小便不通:臭草叶,或生或煮食之。”
❸ 《纲目拾遗》:“治腹内蛔虫:清油煎臭草叶,捣烂敷脐上。”
❹ 《纲目拾遗》:“治鼻血:臭草叶捣烂,塞鼻孔。”
❺ 《岭南采药录》:“治小儿头上小疖:臭草叶捣取汁,和青黛搽。”
❻ 《福建民间草药》:“治初生儿疝气(由号哭引起):鲜臭草9~15g。酌加开水炖服。”
❼ 《纲目拾遗》:“治蛇、蝎、蜈蚣等毒:急取臭草叶生食。”
❽ 《纲目拾遗》:“治小儿大便肠出:好酒煮臭草叶,捣烂,用布作膏贴之。”
❾ 《纲目拾遗》:“治危急重病昏晕:臭草叶醋烹,搓热塞鼻。”
❿ 《福建中草药》:“治跌打肿痛:鲜臭草叶15g,捣烂冲温酒服,另用鲜臭草叶捣烂推擦伤部。” ⑾《福建中草药》:“治小儿湿疹:鲜臭草茎、叶6~9g,绿豆9g。开水泡服。

” ⑿《香港中草药》:“治胃痛:臭草15g,水煎服。”

随便看

 

离鸟网收录3541549条中英文词条,其功能与新华字典、现代汉语词典、牛津高阶英汉词典等各类中英文词典类似,基本涵盖了全部常用中英文字词句的读音、释义及用法,是语言学习和写作的有利工具。

 

Copyright © 2004-2024 vtrois.com All Rights Reserved
更新时间:2026/4/18 4:21:40