网站首页  词典首页


请输入您要查询的字词:

 

字词 自回归条件异方差
类别 中英文字词句释义及详细解析
释义 自回归条件异方差

考虑线性或非线性模型yt=f(xt,β)+εt,其中yt是被解释变量,xt是解释变量,β是模型的参数。

传统的计量经济理论都假定条件方差V(εtt-1)与εt-1无关。但有些经济变量像通货膨胀,汇率和股票价格在较大幅度的波动后面一般紧接著较大幅度波动,较小幅度的波动后面一般连著较小幅度的波动。

ARCH方法比传统方法更适合于对这些变量建立模型,它仍假定无条件方差V(εt)=σ2为常量,但条件方差V(εtt-1)依赖于εt-1,因而符合这些变量的波动特征。

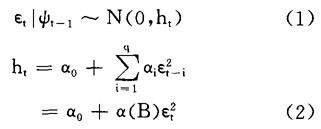
εt=yt-f(xt,β)是一个实数域上的离散时间随机过程,Ψt是直到t时间的所有信息集(即由ε1,…,εt产生的σ-域)。

ARCH(q)过程由下面给出:

其中q>0;α0>0,αi≥0,i=1,…,q;

当且仅当α(1)<1时,由(1)和(2)定义的ARCH(q)过程是宽平稳的,其均值E(εt)=0,无条件方差V(εt)=α0(1-α(1))-1且协方差cov(εt,εs)=0,t≠s。

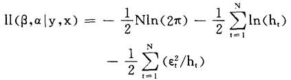
设样本有N个观察个数,则模型估计的对数似然函数为:

使该函数达最大值,就可得到参数β,α的估计。

可采取由Engle(1982)提出的拉格朗日乘子检验(Lagrange multiplier test)对εt是否有ARCH现象进行检验,首先,对εt平方,得到#。然后,对#进行AR(q)自回归估计得到拟合优度R2

最后,利用结果:在不存在ARCH的原假设下,统计量NR2服从于自由度为q的x2分布。

若显著性水平为5%,当NR2值大于x2分布的临界值时,则拒绝εt不存在ARCH的假设,即认为存在ARCH现象。

随便看

 

离鸟网收录3541549条中英文词条,其功能与新华字典、现代汉语词典、牛津高阶英汉词典等各类中英文词典类似,基本涵盖了全部常用中英文字词句的读音、释义及用法,是语言学习和写作的有利工具。

 

Copyright © 2004-2024 vtrois.com All Rights Reserved
更新时间:2026/4/21 7:00:28