网站首页  词典首页


请输入您要查询的字词:

 

字词 自回归分布滞后
类别 中英文字词句释义及详细解析
释义 自回归分布滞后

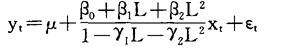
自回归分布滞后模型为: #

其中B(L)和C(L)是滞后算子多项式,Lyt=yt-1,Lxt=xt-1。两个滞后算子多项式的比率基本上可以用相对少量参数产生出任何需要形状的滞后分布,其自回归形式是:

C(L)yt=α+B(L)xt+C(L)εt

其中α=μC(L)

例如,如果B(L)和C(L)都是二次的,则:

yt=μ(1-γ1-γ2)+β0xt1xt-12xt-2

1yt-12yt-2t-γ1εt-1-γ2εt-2

该模型结合了多项式滞后模型的滞后分布形状具有较大灵活性和几何滞后模型的滞后权重递减的两方面优点,已被证明在许多近期应用中为非常有用的一个模型

随便看

 

离鸟网收录3541549条中英文词条,其功能与新华字典、现代汉语词典、牛津高阶英汉词典等各类中英文词典类似,基本涵盖了全部常用中英文字词句的读音、释义及用法,是语言学习和写作的有利工具。

 

Copyright © 2004-2024 vtrois.com All Rights Reserved
更新时间:2026/4/18 8:17:44