网站首页  词典首页


请输入您要查询的字词:

 

字词 自助法
类别 中英文字词句释义及详细解析
释义 自助法

利用样本数据本身得到有关经验估计量抽样特性的方法。

假定θn是由样本X=(X1,…,Xn)得到的参数向量θ的估计量。要想得到θn具有统计特性的近似值,可以通过对自助性估计量θ(b)m加工得到,b=1,…,B。

首先从X中用随机抽样的办法对m个样本点有放回的取样,然后用每一个样本重新计算θ。(自助法样本容量m,有可能大于n也有可能小于n)这样共进行B次,就可以由

θ=[θ(1)m,…,θ(B)m]

计算出期望的抽样特征。

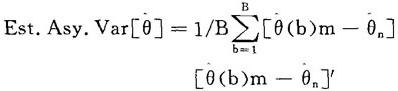
例如,如果知道估计量是连续的,样本容量n相当大,这时就可以用

计算出估计量的θ渐进协方差矩阵的近似值。

近来自助法的应用越来越广泛,详情请参见Vinod & Raj(1994),Veall(1987,1992)的文章。

随便看

 

离鸟网收录3541549条中英文词条,其功能与新华字典、现代汉语词典、牛津高阶英汉词典等各类中英文词典类似,基本涵盖了全部常用中英文字词句的读音、释义及用法,是语言学习和写作的有利工具。

 

Copyright © 2004-2024 vtrois.com All Rights Reserved
更新时间:2026/4/18 22:14:01