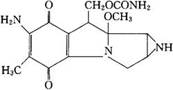
自力霉素
C15H18N4O5=334.33 CAS-50-07-7 6-氨基-1,1a,2,8,8a,8b-六氢-8-(羟甲基)-8a-甲氧基-5-甲基环氮杂[2′,3′∶3,4]-吡咯并[1,2-α]吲哚-4,7-二酮氨基甲酸酯。 6-Amino-1,1a,2,8,8a,8b-hexahydro-8-(hydroxymethyl)-8a-methoxy-5-methylazirino[2′,3′∶3,4]-pyrrolo[1,2-a]indole-4,7-dione carbamate(ester). 抗肿瘤药。用于消化道癌、肺癌、乳腺癌、恶性淋巴瘤和慢性粒细胞性白血病等。 丝裂霉素C。 Mitomycinc,Mitocin-C,Mutamycin,Mitomycin. 注射用自力霉素C。 INN,DCF,JP,NFN,USAN,USP,MI.  |