网站首页  词典首页


请输入您要查询的字词:

 

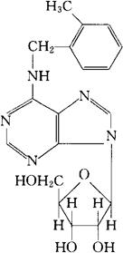
字词 腺苷地尔
类别 中英文字词句释义及详细解析
释义 腺苷地尔

C18H21N5O4=371.40

CAS-23707-33-7

6-(邻-甲基苄基氨基)-9-β-D-核呋喃糖基-9H-嘌呤。6-(o-Methylbenzylamino)-9-β-D-ribofuranosyl-9H purine.

冠脉扩张药。

Metrifudil,Th 322.

INN,USAN.

随便看

 

离鸟网收录3541549条中英文词条,其功能与新华字典、现代汉语词典、牛津高阶英汉词典等各类中英文词典类似,基本涵盖了全部常用中英文字词句的读音、释义及用法,是语言学习和写作的有利工具。

 

Copyright © 2004-2024 vtrois.com All Rights Reserved
更新时间:2026/4/19 13:05:00