网站首页  词典首页


请输入您要查询的字词:

 

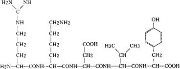
字词 胸腺喷丁
类别 中英文字词句释义及详细解析
释义 胸腺喷丁

C30H49N9O9=679.77

CAS-69558-55-0

N-[N-[N-(N2-L-精氨酰-L-赖氨酰)-L-α-天冬氨酰]-L-缬氨酰]-L-酪氨酸。

L-Tyrosine,N-[N-[N-(N2-L-arginyl-L-lysyl)-L-α-aspartyl]-L-valyl]-.

免疫调节药。

Thymopentin,Thymopoietin,Thymin,Immunox,Sintomodulina,Timunox,ORF 15244,TP-5.

INN,BAN,DCIT,USAN,MI.

随便看

 

离鸟网收录3541549条中英文词条,其功能与新华字典、现代汉语词典、牛津高阶英汉词典等各类中英文词典类似,基本涵盖了全部常用中英文字词句的读音、释义及用法,是语言学习和写作的有利工具。

 

Copyright © 2004-2024 vtrois.com All Rights Reserved
更新时间:2026/4/17 19:30:26