网站首页  词典首页


请输入您要查询的字词:

 

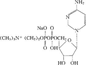
字词 胞二磷酸胆碱钠[中]
类别 中英文字词句释义及详细解析
释义 胞二磷酸胆碱钠[中]

C14H25N4NaO11P2=510.33

胞苷5′-焦磷酸胆碱单钠盐。

Choline cytidine 5′-pyrophosphate monosodium salt.

辅酶类药。用于急性颅脑外伤和脑手术后引起的意识障碍。

胞二磷胆碱钠注射液。

随便看

 

离鸟网收录3541549条中英文词条,其功能与新华字典、现代汉语词典、牛津高阶英汉词典等各类中英文词典类似,基本涵盖了全部常用中英文字词句的读音、释义及用法,是语言学习和写作的有利工具。

 

Copyright © 2004-2024 vtrois.com All Rights Reserved
更新时间:2026/4/18 12:52:42