网站首页  词典首页


请输入您要查询的字词:

 

字词 胞二磷胆碱[中]
类别 中英文字词句释义及详细解析
释义 胞二磷胆碱[中]

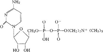
C14H26N4O11P2·2H2O=506.34

CAS-987-78-0(无水)

胆碱胞苷-5′-焦磷酸酯。

Choline cytidine 5′-pyrophosphate ester.

辅酶类药。用于急性颅脑外伤和脑手术所引起的意识障碍。

尼可林,CDP胆碱,胞磷胆碱。

Choline Cytidine Diphosphate,Citicoline,Citidoline,CDP-Choline.

胞二磷酸胆碱注射液。

INN,DCF,DCIT,JAN,NFN,USAN,MI.

随便看

 

离鸟网收录3541549条中英文词条,其功能与新华字典、现代汉语词典、牛津高阶英汉词典等各类中英文词典类似,基本涵盖了全部常用中英文字词句的读音、释义及用法,是语言学习和写作的有利工具。

 

Copyright © 2004-2024 vtrois.com All Rights Reserved
更新时间:2026/4/17 15:28:29