网站首页  词典首页


请输入您要查询的字词:

 

字词 股票价值学说
类别 中英文字词句释义及详细解析
释义 股票价值学说

关于股票价值本质和股票价值决定的理论。18世纪后期,随著股票交易所的出现和股票投机的盛行,关于股价理论的探讨逐渐受到世人的注目。

最初提出股票具有自身的内在价值、股票的价格与价值存在分离的人,当首推美国的S.S·布拉托。他在1903年出版的《华尔街动态》中,提出股票价值的经济本质在于股息请求权。按其说法,股票的价值决定于诸多因素:股息、企业收益、经营者素质及企业收益能力,其中的股息最为重要,因为其他均属于先影响股息进而决定股票价值的间接因素。他认为,理论上的股票价格与其真实价值“一致”,但实际上这两者差异颇大。存在这种差异的现象并不限于股票,其他财物也有这种情形,只是股票表现比较特殊、突出而已。因为就价格的形成而言,是由供求因素来决定,不见得就会与其真实价值完全一致。而且还有其他一些影响股票价格的因素,例如各种好坏消息、证券市场结构、股市人气、投机气氛,以及不懂行的投资人对上市公司经营状况的主观判断,都是造成股票价格脱离其价值的原因。

其后,S.S·胡布勒将布拉托的论点加以补充。他采用股票价值和价格的关系作为投资的指南,而且利用财务分析来把握股票价值,并强调股票价格同市场因素和金融的关系。他认为,股票价格倾向于与其本质的价值一致,从长期来看,股票价格的变化,主要依存于其价值的变化。并指出,就长期的股价变动因素而言,与其本质的价值有关的是长期预期收益与资本还原率。

R·希尔法登在其1910年出版的《金融资本论》一书中,对股票的价值作了早期较为深刻的论述。他继承马克思的虚拟资本理论,指出股票是对利润分红请求权价值的虚拟资本。股票的虚拟资本价值,是用市场利率去除每股股票将来的股息收入得出的,即表示为:

根据这一公式,股票的价值由两个因素构成,即红利和利率。其价值大小与红利多少成正比;与利率成反比。决定红利多少的,是扣去税款后的利润和分红;决定扣去税款后利润的,是包括税款在内的利润和税率;决定包括税款在内利润的,是销售额及其他收益和各种费用。这样,企业的经营业绩可在股票的虚拟资本价值大小中反映出来。同时,决定利率高低的是国民经济活动水平、资本积累的多少以及市场繁荣程度。由此一来,国民经济的状态便直接地规定著股票的虚拟资本价值的大小。希尔法登的虚拟资本学说,是他为了说明生息资本的运动规律而作的理论性准备,但却对投资分析学的发展具有极大影响。现今股票投资研究中的基本因素分析方法,事实上即是按照希尔法登的上述公式框架,分别以收益和利率两方面的分析为基础的。

在希尔法登之后,从事股票价值研究的几乎都是专门从证券投资实践的角度对证券进行评论研讨的一些证券分析家,在如何确定股票价值的研究方面取得了极大发展。这中间,有重要影响的是格雷厄姆、多德、威廉斯、沃尔特以及戈登等人的研究。

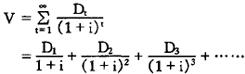
B·格雷厄姆和D.L·多德在其合著的《证券分析论》(1934年出版)中,认为证券中有反映其发行主体的经营实质的内在值,价格是不能长期脱离价值的,因此,证券分析家必须仔细地研究有关发行主体的财务数值及其他资料,然后努力去发现该证券的内在价值。在此基础上,他们按照资本还原的方法,对股票每股利润乘以一定的乘数,推出了一个计算股票价值的公式。J·B·威廉斯则在其著作《投资价值论》中提出,“股票的投资价值是将今后能领取的全部股息加以资本还原的现在价值的总和”,认为企业保留盈余完全不必反映在股票价值上。在其著作中,威廉斯列出了几个表示股票价值的公式,其中,在证券投资领域内被称为著名的威廉斯公式,即为:

式中,V为股票价值;D为股息;i为利率;t为时间。

股票价值学说的发展,表现出极强的务实性和对量的研究的注重,股票价值被视为股票的理论价格,成为股价分析论中的组成部分,在此基础上建立起了股价的基本分析方法。

随便看

 

离鸟网收录3541549条中英文词条,其功能与新华字典、现代汉语词典、牛津高阶英汉词典等各类中英文词典类似,基本涵盖了全部常用中英文字词句的读音、释义及用法,是语言学习和写作的有利工具。

 

Copyright © 2004-2024 vtrois.com All Rights Reserved
更新时间:2026/4/18 21:05:46