网站首页  词典首页


请输入您要查询的字词:

 

字词 股息课税的经济效应
类别 中英文字词句释义及详细解析
释义 股息课税的经济效应

【内容介绍】:

公司分配利润课税如何影响经济行为这一问题是评价一系列税制改革的核心。

一方面,转向课征消费税或公司税一体化都会大大降低对股息所得的课税;另一方面,转向综合所得税将提高对股息课征的有效税收负担。尽管许多财务经济学家已经研究了企业支付股息时许多投资者会遭到税收处罚而为什么还要支付股息这一问题,但在股息课税对企业的投资和财务决策的影响上意见不一。

本文根据波特巴和萨默斯(Poterba and Summers,1985,p.229-284)的研究,分析研究股息课税经济影响的几种观点。首先概括出股息课税三种观点的基本内容,然后介绍波特巴-萨默斯分析框架,继而用该框架分析三种观点对股息课税经济影响的预测。

1.股息课税经济影响的三种观点

理论界对于股息税如何影响企业和股东决策的观点可以归纳为三种,即税收无关论(taxirrelevance view)、税收资本化假说(tax capitalization hypothesis)和传统观点(traditional view)。本节简要概括这三种观点的基本思想。

1.1税收无关论

这种观点称之为“税收无关论”,认为支付股息的企业在市场中没有受到惩罚(Miller and Scholes,1978,p.333-364,1982,p.1182-1142)。这种观点认为,在美国,鉴于税法中的各种细微差别,边际投资者并不需要额外的税前收益以诱使他们持有支付股息的证券。一些个人投资者实际上没有对股息所得纳税;其他一些投资者面临著很高的交易成本,或者虽然不纳税但面临著资本支出上的种种限制,从不纳税的角度来看,认为股息比资本利得更有吸引力。这些投资者需要支付股息的证券。倘若这种观点是正确的,并且支付股息的企业不受惩罚,那么就不存在股息困惑(dividend puzzle)。而且,股息税率和股息政策的变化既不会影响企业的总价值,也不会影响企业的投资决策。

因此,股息税是非扭曲性的。税收无关论意味著:降低股息税对股票值、公司投资决策或经济的长期资本存量不会产生任何影响。

1.2税收资本化假说

这观点也认为股息税没有扭曲性效应,可以称之为“税收资本化假说”(Auerbach,1979,p.433-446;Bradford,1981,p.1-22;King,1977)。

这一观点的前提是:成熟企业通过公司这层面纱来转移货币的惟一途径就是支付应税的股息。因此,公司资产的市场价值等于企业预期支付的税后股息的现值。此外,由于这些未来的税收在股票价值中资本化,所以股东对于保留收益政策还是支付股息政策没有差异。

就这种观点而言,提高股息税会导致公司股票的市场值立即下跌,但股息税并不影响企业投资的“边际”刺激。这种税实际上是对公司资本的初始持有者所征收的一次总付税,对实际决策不产生扭曲性效应。

税收资本化观点意味著:降低股息税会给公司股票所有者带来意外利得,不会改变公司的投资刺激。

1.3 传统观点

这观点是所谓的“传统观点”,认为股息税是对公司利润额外课征的税收(McClure,1977)。尽管股息的税收负担重于资本利得,但企业却因为支付股息而得到回报。这种回报的解释是不明确的;作为经营管理上的信号可能是一种依据。

因此,尽管公司股东的税收义务较高,但企业对于其股息支付的边际变化可能并不计较。这种观点表明:企业边际投资的有关税收负担是对投资收益在公司层次上和个人层次上所征收的全部税收;降低股息税既提高了股票价值,也对资本投资产生了刺激,因为它们降低了企业预期所能挣到的税前收益;因此,股息税的变化会影响经济的长期资本密集度。

2.分析框架

波特巴和萨默斯(Poterba and Summers,1985)建立一个准确分析股息课税影响的模型。他们从米勒和莫迪利亚尼(Miller and Modigliani,1961,p.411-433)提出的在无税世界中股息政策无关论开始,认为如果股东面临的股息和资本利得适用不同的税率,那么这种无关论可能就不再成立。

股息政策可能影响股东的财富,同时股东也就不可能对用留存收益融资的投资与用发行新股票融资的投资表现出无差异。

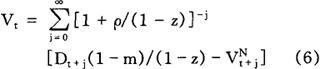
为了证明这一命题,考察股东持有某一特定企业的股票而取得的税后收益,股息和资本利得的边际税率分别为m和z;其中,按照金(King,1977)的定义,税率z是资本利得的有效边际税率,因为资本利得按实现制而非应计制征税,故z是属于今天的资本利得发生的纳税义务的预期期。股东的税后收益R就是:

式中各符号的经济含义是:

Dt——企业的股息支付

Vt——企业在t时期的总价值——在t时期未偿股票在t+1时期的价值

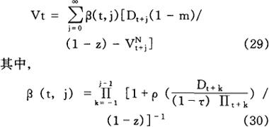
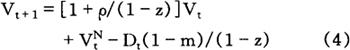
为了集中分析与税收有关的企业问题,波特巴和萨默斯没有考虑不确定性,把作为在t时期是已知的[他们曾经建立了一个与此密切相关的模型,考虑了不确定性和投资调整成本问题(Poterba and Summers,1983,p.135-167)]。企业在t+1时期的总价值为:

其中,等于在t时期发行的新股份。

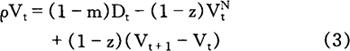
假设在均衡中股东可以获得其必要收益率,从而Rt=ρ,这样(1)式可以改写为:

(3)式是企业价值Vt的差分方程。

满足横截性条件:

得到企业价值的表达式:

企业的总价值等于税后股息的贴现值减去新发行股票的现值。

为了考察股息税的不同观点,首先简要地描述一下企业的最优化问题。企业的目标是使其市场价值最大化,这要满足若干约束条件。

第一个条件就是其现金流量等式: (7)

式中的Ⅱt代表税前赢利性,It代表总投资支出,τ代表公司税率。

t=Ⅱt(Kt)

其中,Kt是在t时期伊始的资本存量。

其次,描述企业资本存量变化的方程式是:

Kt=Kt-1+It (8)

假设没有折旧,而且不考虑投资的调整成本或可能存在的投资不可逆性。

最后,企业的财务政策或融资决策存在著各种限制条件:股息不能是负的;新股票的发行必须大于某一最低水平V*N,这反映了对企业回购股份的能力或在相同税收结果下从事交易的能力的限制。

这两个限制条件可以写成:

Dt≥0 (9)

以及 (10)

其中,V*N≤0。

在正式求解企业的投资和融资计划以前,先看一下该问题解的一个重要特征。企业可能从来不会发行新股票的同时支付股息。如果企业在任一时期都使Dt>0和,那么,在融资政策上就存在一种可能的混乱,它不会影响在任何时期的投资或利润,但却能提高股票价值。这一混乱导致股息降低,与新发行股票的减少相抵。

为了改变股息和新发行股票而又不影响Ⅱt或It,这要求 (11)

根据(6)式,在t+j时期股息变化所引起的、满足(11)式的股票价值变化是:

倘若m>z,那么,无论何时降低股息都会提高Vt

由于这种混乱观点适用于任何可能的股息水平,这就表明拥有足够的利润来满足投资需要的企业,会减少新股票发行,而且尽可能回购股份。就某些企业而言,情况可能是It>(1-τ)Ⅱt,将发行新股票。

因此,即使m>z,也可能发行一些新股票。类似地,有些企业可能因投资太少而不能充分利用其现有利润;如果可能的话,这些企业就会回购其股票。只有在用尽了免税分配渠道之后,这些企业才会支付股息。然而,没有哪个企业会同时在股息和新股票发行边际上运转。

“股息困惑”是指一些企业支付股息而同时也有未利用回购股票或从事可以有效地把免税所得转移给股东的等价交易的机会。爱德华(Edwards,1984,p.1-17)曾经指出,在英国大型企业的样本中,25%强的企业在同一年度支付股息和发行新股票,而17%的企业不仅支付股息而且在发行新股票的年度还增加股息。

上述结论只有在仅有一个股东并且他的税率满足m>z时才成立。可是,现实经济的特点是:不同的股东为数众多,而且税率常常极不相同。

虽然对于某些股东而言,情况很可能是m>z,而对于很多投资者而言,m=z,况且还有一些投资者的资本利得所适用的税率高于股息的税率。倘若不存在卖空行为限制(short-selling constraints),那么就如同布莱纳恩(Brennan,1970,p.407-427)以及高登和布莱弗德(Gordon and Bradford,1980,p.409-136)所说的那样,同资本利得相比,整个市场就会对股息存在著惟一的偏好。

它将等于不同投资者税率的加权平均值,其中,比较富有的、风险厌恶程度较低的投资者的权数较高。然而,倘若存在各种限制条件,那么不同的企业就会面临著不同的投资者,很可能具有不同的税率。

如果一些贸易者的交易成本很低(Miller and Scholes,1982,p.1142-1182;Kalay,1982,p.1059-1070),或者几乎属于风险中性,那么他们实际上就决定了市场对股息和资本利得的相对估价,从而也就变成了边际投资者。

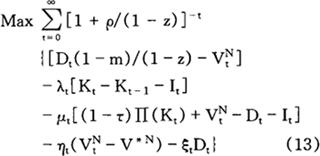
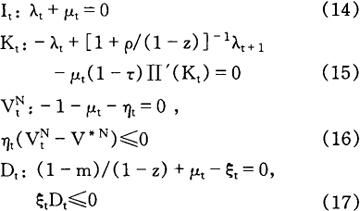
企业要选择It、Kt和Dt以使Vt最大化,满足(7)式~(10)式。企业问题就可以改写成下列形式:

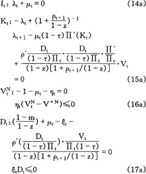
式中,λt、μt、ηt和ξt是与这些限制条件的拉格朗日乘子。最优规划的一阶必要条件是:

至此,用于分析股息课税经济影响的模型框架构建完毕。依据不同的股息课税观点解释上述这些条件,就可以澄清股息课税对资本成本、投资、股息分派政策以及有价证券收益的不同影响。

3.对三种观点的具体分析

3.1 税收无关论

股息税的第-种观点假定:投资者设定股票价格,对他们来说,m=z;这就是由米勒和斯克尔斯(Miller and Scholes,1978,1982)提出来的“税收无关论”。米勒和斯克尔斯认为,公司股票的边际投资者实际上对股息和资本利得都没有纳税。滨田和斯克尔斯(Hamada and Scholes,1984)把这种观点称之为“税前理论”(before-tax theory),认为这种观点实质是假设所有个人所得税(包括对债券持有者、股票持有者以及企业合伙者课征的个人所得税)都会漏掉。

有几种情形可以使边际投资者的资本利得不纳税。

边际投资者可以是机构投资者,对于这种投资者,m=z=0。换言之,在美国,边际投资者也许是个人投资者,对于这种投资者,股息所得放宽了利息费用的扣除限制,实质上使m等于零。由于税收最小化的交易,诸如持有利得的股票而出售有损失的股票,这种投资者的资本利得也面临著零税率。

在m=z=0的情况下,对一阶条件(14)~(17)式的解释很容易。最后两个约束条件可以大大简化。只要企业或支付股息或发行股票,Dt约束条件的影子价值ηt或ξt就将等于零。利用(16)式或(17)式以及m=z=0,这就意味著μt=-1。

额外1元利润的价值正好是1元。资本的影子价值λt可以根据(14)式来确定。

由于-μtt,所以λt=1。这里额外的一单位资本的影子价值λt对应于投资理论中的“边际q”。

不管企业的边际投资资金来源如何,企业将一直投资到1元投资的市场价值增量正好等于1元为止。

在知道λtt+1=1的情况下,我们就可以解方程式(15),求得均衡边际资本产品:

(1-τ)Ⅱ′(Kt)=ρ/(1-ρ) (18)

ρ/(1+ρ)在ρ=0附近的泰勒扩展式使我们可以用ρ来估计该表达式的右式,得到如下标准结果:(1-τ)Ⅱ′(Kt)=ρ。把资本成本定义为Ⅱ′(K)的值,它正好满足(18)式并且利用这种估计可得:

c=ρ/(1-τ) (19)

企业的资本成本不取决于其股息分派政策。公司税率的变化将影响投资决策。

然而,投资政策既不取决于企业的股息分派决策,也不取决于现行的名义股息税率,因为精通税法的投资者总是把它降低至零。倘若假设边际投资者的m=z=0,就可以立即得出无税世界的米勒-莫迪利亚尼无关结论。

税收无关观点还表明,所有股票证券的风险调整后预期收益率都相等,而与其股息收入的多少无关。假定所有收益率都一定,则基本的资本市场均衡条件是:

ρ=di+gi (对一切i) (20)

其中,di是有价证券i的股息收入,gi是有价证券i的预期资本利得。

不会由于企业的股息政策而不同股票的收益率出现明显差异。

对于边际投资者,m=z=0这种假设最终只有通过经验研究才能核实。

有些证据(诸如在没有股息的日子里,股票价格比其股息价值下跌的程度小这种有争议的发现)表明,边际投资者所面临的股息和资本利得的税率不会一样。税收无关论也很难解释英美两国税务当局所征收上来的大量的股息税收入。如果大多数个人投资者实际上都没有对股息收入纳税,就不应该有那么多的股息税收入。

股息课税的第二种和第三种观点假设股票按照边际投资者面临的股息有效税率好像高于资本利得有效税率的情况来估价,并试图解释在这种税收劣势情况下股息为什么还存在。

每一种观点对于股息课税如何影响资本成本、投资和股息政策的解释不同。

3.2 税收资本化观点

股息税的“税收资本化”观点是由奥尔巴克(Auerbach,1979,p.433-446)、布莱弗德(Bradford,1981,p.1-22)以及金(King,1977)提出的,适用于成熟企业,其税后利润大于其预期投资支出,故保留收益是这些企业的边际投资资金来源。

这一观点假定,企业不可能找到把所得转移给股东的免税渠道,从而VN=V*N这一限制条件具有约束力。因此,企业支付的应税股息等于超过投资的利润余额:

Dt=(1-τ)Ⅱt-It+V*N (21)

在这种情况下,某个企业的一阶条件式(14)~(17)就可以重新解释。

上述已证明,支付股息的企业会最大程度地回购股票,所以。用公式来表述,在知道Dt>0的情况下,就可以令(17)式中的ξt=0,这表明,μt=-[(1-m)/(1-z)]。

因此,根据(14)式,一单位资本的边际价值是:

λt=[(1-m)/(1-z)]<0 (22)

在均衡中,边际q小于1。企业将投资到从边际角度来说投资者对获取额外股息支付与把资金再投资于本企业无差异为止。

当企业支付1元股息时,股东获得的税后股息为(1-m)。如果企业保留这笔钱并用它购买资本,那么它的股票价值将增加q,而股东获得的税后所得为(1-z)q。

如果股东对这两种措施无差异,那么边际q的均衡值必定等于[(1-m)/(1-z)]。

根据税收资本化观点,资本成本可以依据(15)式推导出来。它既取决于投资资金的现有边际来源,也取决于在t+1时期可利用的预期边际来源(King,1974,p.21-35;Auerbach,1983,p.905-940;Edwards and Keen,1984,p.211-214)。这是因为λt+1影响著t时期的资本成本,而λt+1又取决于下一个时期的边际资金来源是保留资金还是新发行股票。

税收资本化观点的假设是:成熟企业不会再发行新股票且总是使,因而在本时期以及未来所有时期,边际资金来源就是保留收益。因此,就可以令

λtt+1=[(1-m)/(1-z)]

并得到:

(1-τ)Ⅱ′(Kt)

=[ρ/(1-z)]/[1+ρ/(1-z)] (23)

仍然利用泰勒扩展式估计右式,资本成本就可以写作:

c=ρ/[(1-τ)(1-z)] (24)

股息税率不影响资本成本,而且股息税的永久性变化也不影响投资活动,除非伴随著资本利得税的变化。

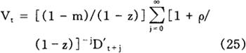
这一观点表明,股息税是对征税时的公司部门财富征收的一次总付税。利用(6)式并把D′t+j定义为在t+j时期支付给t时期股东的股息,公司股本的总价值等于:

因此,股息税率的变化直接影响著未偿股票的总价值,但不影响这些股票的收益率。税收资本化观点把现有股票看作被“阻拦”在公司部门中,因而要承担股息税的全部负担。

股息税率的永久性变化不影响企业的股息政策。

资本成本以及企业的投资和资本存量不受股息税的影响,股息支付即(1-τ)Ⅱ(Kt)+与投资支出之间的差额也不受影响。令股息税率在t时期为m,而在以前和以后的所有时期都为零。

为了方便起见,令在所有时期z=0。

由于对于所有j≠0,λt=1-m,但λt+j=1,所以,可以利用(15)式一个时期一个时期地确定税收变化后的资本成本(见表1):

表1

资本成本的一般公式为:

c=(1-τ)-1{1-[1+ρ/(1-z)]-1t+1/λt)} (26)

资本成本部分取决于一个时期与下一个时期之间预期发生的资本影子价值的变化。由于λt因股息税而比较低,所以资本成本在征税前的那个时期就比较高,而在征税的时期比较低。由于资本成本的变化具有实际影响,所以临时性税收变化会改变投资,从而会改变股息分派。

这一结果凭直觉就可以想像到。在征收临时股息税时期,企业将花很大力量避免支付股息,结果甚至会从事生产力极低的投资。

最后,由于资本化观点假设股息的税率要比资本利得的税率高,所以认为支付股息的股票将获取较高的税前收益率,以抵消股东的税收义务。相应于(20)式的税后资本市场情况是:

ρ=(1-m)di+(1-z)gi (27)

也可以改写成:

Ri=ρ/(1-z)+[(m-z)/(1-z)]di (28)

其中,Ri=di+gi

在股息收益不同的情况下,有价证券的收益率会明显不同。

股息课税的资本化观点存在著三个主要问题。第一,如果边际q小于1且边际q和平均q之间差别不大,那么企业将总是倾向于通过接管而非直接购买来获取资本。这是因为新资本品的购买价格是1,而其他公司持有的资本品的市场价值只是(1-m)/(1-z)。

第二,这一观点的前提是:股息是把货币转出公司部门的惟一途径。

企业受到约束,因为它们不能再减少新股票发行或增加股票回购。至少在美国,企业可以利用许多可能的方法把收益转化为资本利得,如股票回购、接管、购买股份持有权或其他企业债券以及各种其他交易。所以,所有边际分配都必须经过股息渠道这种假设是站不住脚的,税收资本化观点也就不可能从任何实际意义上解释股息分派。

可是这种观点假定必须支付股息,而且企业不能发行新股票,然后再分析股息税率变化的影响。

第三,股息支付是公司账户中的余额,因而变化会很大,这一假设也有问题。

增加预期投资的“好消息”可能会导致股息的大幅度下降。

大多数经验证据表明(Lintner,1956,p.97-113;Fama and Babiak,1968,p.1132-1161),股息支付比投资支出的不稳定性要小得多,而且当得到有关企业未来的有利的信息时,管理者能会增加股息。

3.3 传统观点

股息课税的第三种观点,采取了一种更直接的方法来解决股息困惑。这种观点认为,出于种种原因,股东从股息支付中取得利益。企业用现金股息作为分配渠道会得到一些好处,而且这会反映在其市场价值中。虽然使股息具有价值的因素尚不明确,但一些主要的解释有“信号”假说(Ross,1977,P.23-40;Bhattacharya,1979,p.259-270;Miller and Rock,1984)、限制管理决策的必要性(Jensen and Meckling,1976,p.305-360)以及“自我控制”理论(Shefrin and Statman,1984,p.253-282)。

为了建立股息分派比率影响股东对企业估价的模型,必须对上述分析进行总结。

考虑“内在股息价值”的一个简便方法就是假定企业所得流量所适用的贴现率取决于股息分派比率:ρ=ρ[D/(1-τ)Ⅱ],ρ′<0。利润的分配比例较高的企业,其回报就是必要收益率较低。这样,企业价值的基本表达式由(6)式变为:

尽管股息税使股息支付失去了吸引力,较高的股息分派比率所导致的贴现率降低却诱使企业支付股息。

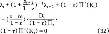
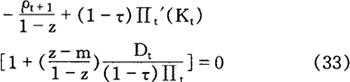
在这种情况下,表明企业最优规划的一阶条件与前两种观点的一阶条件稍有不同,因为现在股息政策的选择影响贴现率。新的一阶条件如下:

为了方便起见,上面诸式中。令ρt+1=ρ[Dt/(1-τ)Ⅱt]。

为了解出这些方程的边际q和资本成本,假设支付股息所获得的收益足以使Dt>0。

如若不然,这种观点就会简化为税收资本化模型,即股息正好是余额。正的股息要求ξt=0,所以根据(16a)式,μt=-1,根据(14a)式,λt=1。

因此,边际q的均衡值是1。这一点是成立的,因为从边际角度来看,投资者用1元的税后所得换取了1元的公司资本。

因q值小于1,故这些交易将停止。

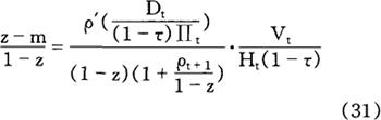
资本成本也可以根据这些条件求出。由于μt=-1,所以(17a)式可以改写成:

该表达式可以用来简化(15a)式:

假设λtt+1=1,并估计[ρt+1/(1-z)]/[1+ρt+1/(1-z)]=ρt+1/(1-z),得到:

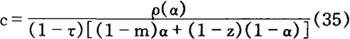
这可以改写成:

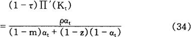
其中,股息分派比率αt=Dt/(1-τ)Ⅱt。因此,稳定状态的资本成本为:

它涉及到股息税率和资本利得税率的加权平均,其权数等于股息分派比率。

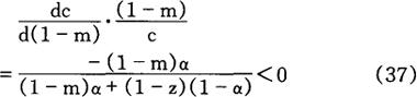
资本成本也将受到股息税变化的影响。求(35)式的微分可得到确切的效应:

选择Dt上述条件意味著在最优股息分派情况下,所以,

股息税率的降低将使资本成本更低,增加当前的投资支出。

传统的观点表明,当股息税率下降时,均衡资本密集度和必要收益率ρ将提高。

在资本供给无弹性这种极端假设情况下,股息税减税的惟一影响就是在均衡状态下提高收益率ρ。

倘若资本供给弹性是正的,那么股息税率降低将同时提高资本密集度和收益率。所以,股息税的变化会具有强大的配置效应。

传统观点还表明,随著股息税的下降,股息分派比率将提高。企业把来自股息支付的边际收益等同于这些支付的边际税收成本。

股息税的降低,不管是暂时的还是永久的,将降低获取信号或其他利益的边际成本,且最优分派比率因此会提高。

最后,还要注意这种观点对不同证券的相对税前收益的含义。

定价关系是对(28)式的归纳:

这表明,有两种效应影响著股息收益。在企业i实际支付股息的时期(di>0),可计算的税前收益将提高以补偿投资者因此而产生的税收义务。

不过,即使在没有支付股息的时期,由于股息分派提供的信号或其他价值,收益较高股票的必要收益率也许低于收益较低股票的必要收益率。

传统观点虽然也许对股息困惑给出一种解释,关键取决于投资者对高股息分派估价的一种明确理由,但到目前为止并未激发人们使用ρ(α)函数的积极性。布莱克(Black,1976,p.72-77)、斯蒂格里兹(Stiglitz,1980)以及爱德华(Edwards,1984,p.211-214)等讨论了“内在股息价值”的多种解释,发现它们在有些方面并非令人满意。

尤其让人难以理解的是,企业为什么会使用现金股息,而不使用征税较轻的方法向股东传递信息。

这一观点的另一个问题是企业很少发行新股票。然而,尽管企业很可能很少发行新股份,但新股票仍然是边际资金来源。

例如,一些企业可能会使用短期借款为他们不发行股票年份的项目融资,然后在最终发行新股票时偿还这些债务。

4.结语

本文描述了股息课税经济效应的三种不同观点。

表2概括了每种观点的资本成本和均衡“q”,并列示出每种观点就投资和股息分派比率对股息税率永久性提高的反应程度的预测以及对支付股息的股票取得的税前收益溢价的预测。

表2 股息课税的不同观点

表中的这些结果都是在正文中推导出来的。投资水平是I,α是股息分派比率。所有税收变化都假定是长久性变化。

所得税与公司融资政策(Income Taxes and Corporate Financial Policy)

所得税、企业规模与融资政策(Income Taxes,Firm Size and Financial Policy)

公司税制融资非中性的测定方法(Method for Measuring Financial Non-Neutralities in Corporate Tax System)

股息的经济双重征税减轻度的测定(Measurement of the Degree of Mitigation of Economic Double Taxation of Dividends)

Auerbach, A., 1979, Wealth Maximization and the Cost of Capital, Quarterly Journal of Economics 93.

Auerbach, A., 1983, Taxation, Corporate Financial Policy, and the Cost of Capital, Journal of Economic Literature 21.

Bhattacharya, S., 1979, Imperfect Information, Divident Policy, and the Bird in the Hand Fallacy, Bell Journal of Economics 10.

Black, F., 1976, The Dividend Puzzle, Journal of Portfolio Management, Winter.

Bradford, D., 1981, The Incidence and Allocation Effects of a Tax On Corporate Distributions, Journal of Public Economics 15.

Brennan, M., 1970, Taxes, Market Valuation, and Corporate Financial Policy,National Tax Journal 23.

Edwards, J., 1984, Does Dividend Policy Matter? Fiscal Studies 5.

Edwards, J. and M. Keen, 1984, Wealth Maximization and the Cost of Capital, Quarterly Journal of Economics XCIX.

Fama, E. and H. Babiak, 1968, Dividend Policy: An Empirical Analysis, Journal of the American Statistical Association 63.

Gordon, R. and D. Bradford, 1980, Taxation and the Stock Market Valuation of Capital Gains and Dividends: Theory and Empirical Results, Journal of Public Economics 14.

Hamada, R. and M. Scholes, 1984, Taxes and Corporate Financial Management, in E. Altman and M. Subrahmanyam, eds., Recent Advances in Corporate Finance,Dow-Jones Irwin.

Jensen, M. and W. Meckling, 1976, Theory of the Firm: Managerial Behavior, Agency Costs, and Ownership Structure, Journal of Financial Economics 3.

Kalay, A., 1982, The Ex-dividend Day Behavior of Stock Prices: A Reexamination of the Clientele Effect,Journal of Finance 37.

King, M., 1974, Taxation and the Cost of Capital, Review of Economic Studies 41.

King, M., 1977, Public Policy and the Corporation, Chapman and Hall.

Lintner, H., 1956, Distribution of Incomes of Corporations Among Dividends, Retained Earnings, and Taxes, American Economic Review 46.

McClure, C. , 1977, Must Corporate Income Be Taxed Twice? Brookings Institution.

Miller, M. and F. Modigliani, 1961, Dividend Policy, Growth, and the Valuation of Shares, Journal of Business 34.

Miller, M. and K. Rock, 1984, Dividend Policy Under Asymmetric Information,University of Chicago.

Miller, M. and M. Scholes, 1978, Dividends and Taxes, Journal of Financial Economics 6.

Miller, M. and M. Scholes, 1982, Dividends and Taxes: Some Empirical Ev idence, Journal of Political Economy 90.

Poterba, J. and L. Summers, 1983, Dividend Taxes, Corporate Investment, and Q, Journal of Public Economics 22.

Poterba, J. and L. Summers, 1985, The Economic Effects of Dividend Taxation, in E. I. Altman and M. G. Subrahmanyam, eds., Recent Advances in Corporate Finance, Richard D. Irwin.

Ross, S., 1977, The Determination of Financial Structure: An Incentive-Signalling Approach, Bell Journal of Economics 8.

Shefrin, H. and M. Statman, 1984, Explaining In vestor Preference for Cash Dividends, Journal of Financial Economics 13.

Stiglitz, J., 1980, The Inefficiency of Stock Market Equilibrium, Princeton University.

随便看

 

离鸟网收录3541549条中英文词条,其功能与新华字典、现代汉语词典、牛津高阶英汉词典等各类中英文词典类似,基本涵盖了全部常用中英文字词句的读音、释义及用法,是语言学习和写作的有利工具。

 

Copyright © 2004-2024 vtrois.com All Rights Reserved
更新时间:2026/4/17 15:31:24