网站首页  词典首页


请输入您要查询的字词:

 

字词 股份有限公司筹资中应注意的问题
类别 中英文字词句释义及详细解析
释义 股份有限公司筹资中应注意的问题

企业资金需要量的预测及筹资方式的选择等问题在本书中有关章节已作了详细的分析。以下我们将就股份有限公司的特点,来讨论一些股份有限公司的筹资过程中应注意的问题。

1.股票与债券的异同

股票与债券都是有价证券,都是股份有限公司的重要筹资工具,两者有共同之处:

(1)都能给持有者带来收益,都可转让买卖;

(2)都是筹资工具,发行者可通过其获得所需资金;

(3)都是投资工具,给投资者带来报酬。

但股票与债券有著本质的区别:

(1)经济性质不同。股票是所有权证明,债券是债权债务关系的凭证。

(2)体现的关系不同。股票体现了所有权关系,其股东有对公司的经营管理权等一系列权利。债券反映借贷关系,其持有人只有到期要求还本付息的权利。

(3)提供的收益不同。股票是高风险、高收益证券,而债券安全性大,但收益比股票低。

(4)偿还期不同。股票随公司存在而永久存在,债券在发行时就规定了偿还日期。

(5)价格不同。股价受多种因素影响,波动较大,债券价格由利率决定,波动不大。

2.发行股票或债券的抉择

在作出发行股票还是债券的抉择时,应考虑三个方面的问题:

(1)收益

要考虑不同的筹资方案给普通股股东带来的每股收益的大小。提高普通股每股收益是公司筹资乃至经营的目的所在。

以上公式中,EPS是普通股每股收益,EBIT是税前收益,Ⅰ是债券利息,PD是优先股股利,N是已发行普通股股数。运用此公式,可以进行债券或股票的抉择。

例:某公司准备筹集200万元长期资本,有两种方案:(1)发行利率8%的债券200万元,(2)发行面值10元的普通股50,000股。当时公司财务状况:公司有普通股200万元,共20万股;优先股80万元,股息5%;长期债券150万元,利率4%,公司所得税率50%。

T(1)=T(2)=50% PD(1)=PD(2)=80万×5%=4万元

I(1)=200万×8%+150万×4%=22万元

I(2)=150万×4%=6万元

N(1)=20万股 N(2)=20万+5万=25万股

由此可知,EPS是EBIT的线性函数,如下图:

当EBIT为94万元时,EPS(1)=EPS(2)=1.6元,此时的(1)方案与(2)方案可由财务人员相机抉择。当EBIT预期小于94万元,如处于X位置时,显然,EPS(2)>EPS(1),应选择(2)方案。

(2)危险性

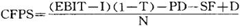
危险性指由于发行的债券须定期还本而对股东带来的危险,但这危险的大小是抽象的。我们可以设想公司须用现金归还本金,则危险性就可以用普通股每股现金净流量(CEPS)表示:

其中SF是偿债基金(每年应偿还的债务),D是每年冲减的折旧费用。参照收益分析,我们也可以根据具体的财务资料来计算不同预期税前收益下,即不同EBIT下,CFPS的大小,并由此确定不同筹资方案危险性的大小。

(3)债券持有人对公司经营管理的支配可能性要远远小于股东,所以如果要集中公司控制权,则发行债券较为有利。

在进行筹资方案抉择时,要综合考虑以上各要点,并注意股票筹资对公司的利与弊及其筹资成本的大小,综合分析,慎重抉择。

3.股份有限公司的资本结构

不同的资本结构有不同的优缺点:

(1)只有普通股

在前面部分已详讨细论了利用普通股筹资的利与弊。

(2)普通股加优先股

这种资本结构的优点有:比只有普通股更容易筹集资本;优先股股利较低,因而较只有普通股的资本结构来言,资本成本降低了;优先股股利相对固定,可使企业享受财务杠杆利益;优先股无表决权,不会影响企业的控制权。缺点主要有:优先股与普通股股利均不能列入费用支出,因而不能减轻税负;当企业盈利水平低于优先股股利时,企业将受负财务杠杆之苦。

(3)普通股、优先股加银行贷款、债券

这种资本结构优点是:贷款与债券对投资人较为定金,给公司带来广泛的投资者;贷款及债券资本成本低于股票,并且它们筹集的资本是负债资本,利润固定,可以使企业充分发挥财务杠杆作用;贷款与债券投资者不能参与企业的决策。缺点是:贷款与债券须到期还本付息,如企业不能获取预期利润或现金周转不灵,就会陷入财务困境;这两种债务的契约或多或少会给企业附带严格限制,从而影响企业灵活性;如欠债过多,财务风险过大,会影响企业信用。

(4)普通股、优先股加银行贷款、债券加留成收益

这是一种全面的资本结构,利于广开资本渠道,有可能充分发挥主权资本与负债资本的优势。

4.财务结构的弹性与调整

(1)普通股与结构弹性的关系

对于股份有限公司来说,股本资金是长期稳定占用的资金,一旦使用即成为固定,除非考虑公司增资或减资。而增资或减资是要经过繁琐手续,付出一定代价并冒一定风险的。增资会使债务人觉得该公司已无力借到新债,出现了财务或信用危机。减资意味著企业经营收缩,影响企业市场形象。所以要保持资本结构弹性并适时调整,重点就落到债务资金及优先股筹资方式上。

(2)负债及优先股与结构弹性的关系

资本结构的调整,可分为影响原有资产总量的结构调整,又称增量调整,以及不影响资产总量的调整,即存量调整。

对于存量调整,可分为以下状况:在原有结构呈高负债的情况下,因企业经营不善而导致亏损,高负债的利息包袱太重,因此需要调整结构,降低负债比率;在利率趋低情况下,通过借新债还旧债来调整债务结构,减少利息支出。

对于前者,在不增加股本的情况下,有三种调整方法:

❶ 将企业债务、优先股等证券资金转换为普通股,即将企业可转换型证券在必要时按一定比率转换为普通股,减少负债。

❷ 对债券提前收兑,即在感到不妙时,利用可提前收兑条款收兑债券,减少债务,改变企业高负债的形象,伺机发行新债券。

❸ 利用短期负债与长期负债进行期限搭配,利率搭配,调整结构,降低负债。

对于后者,主要是灵活运用债券可收兑条款及浮动利率型债券进行结构调整,降低利息支出,提高收益。

对于增量调整,主要指企业在上升时,由于股权过高,为降低股权比重而扩大负债规模,扩充资产总量,合理利用财务杠杆。

随便看

 

离鸟网收录3541549条中英文词条,其功能与新华字典、现代汉语词典、牛津高阶英汉词典等各类中英文词典类似,基本涵盖了全部常用中英文字词句的读音、释义及用法,是语言学习和写作的有利工具。

 

Copyright © 2004-2024 vtrois.com All Rights Reserved
更新时间:2026/4/18 14:59:14