肟莫南钠
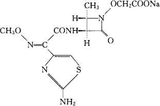
C12H14N5NaO6S=379.32 CAS-90849-08-4 [2S-[2α,3β(Z)]]-[[3-[[(2-氨基-4-噻唑基)(甲氧亚氨基)乙酰]氨基]2-甲基-4-氧代-1-氮杂环丁烷基]氧]乙酸,单钠盐。 [2S-[2α,3β(Z)]]-[[3-[[(2-Amino-4-thiazolyl)(methoxyimino)-acetyl]amino]-2-methyl-4-oxo-lazetidinyl]oxy]acetic acid,monosodium salt. [[(2S,3S)3-[(2-氨基-4-噻唑基)乙醛酰胺基]-2-甲基-4-氧代-1-氮杂环丁烷基]氧]乙酸盐,32-(Z)-(o甲基肟)。 Sodium[[(2S,3S)-3-[(2-amino-4-thiazolyl)glyoxy amido]-2-methyl-4-oxo-l-azetidinyl]oxy]acetate,32-(Z)-(o-methyloxime). 抗生素类药。 Oximonam Sodium,SQ 82629. USAN.  |