肟莫南
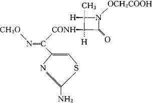
C12H15N5O6S=357.34 CAS-90898-90-1 [2S-[2α,3β(Z)]]-[[3-[[(2-氨基-4-噻唑基)(甲氧亚氨基)-乙酰]氨基]-2-甲基-4-氧代-1-氮杂环丁烷基]氧]乙酸。 [2S-[2α,3β(Z)]]-[[3-[[(2-Amino-4-thiazolyl)(methoxyimino)-acetyl]amino]-2-methyl-4-oxo-lazetidinyl]oxy]acetic acid. [[(2S,3S)-3-[(2-氨基-4-噻唑基)乙醛酰胺基]-2-甲基-4-氧代-1-氮杂环丁烷基]氧]乙酸,32-(Z)-(O甲肟)。 [[(2S,3S)-3-[(2-Amino-4-thiazolyl)glyoxylamido]-2-methyl-4-oxo-l-azetidinyl]oxy]acetic acid,32-(Z)-(O-methyloxime). 抗生素类药,抗菌药。 噻肟蒙南。 Oximonam,SQ 82291. INN,USAN.  |