肝素[典]
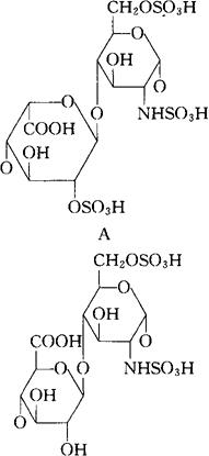
CAS-9005-49-6 含有二种主要成分A和B双糖的聚合物。 A是L-艾杜糖醛酸2-硫酸盐链以α-(1→4)或与2-去氧-2-硫酰胺-D-葡萄糖-6-硫酸盐结合。B是D-葡糖醛酸β-(1→4)链或与2-去氧-2-硫酰胺-D-葡萄糖-6-硫酸盐结合。 A is L-Iduronic acid 2-sulfate linked α-(1→4)to 2-deoxy-2-sulfamido-D-glucose6-sslfate,sulfate while B is D-glucuroni acid β-(1→4)linked to 2-deoxy-2-sulfamido-D-glucose-6-sulfate. 抗凝血药。能阻抑血液的凝固过程,用于防止血栓形成。 Heparin,Heparinic Acid. 肝素注射液。 INN,DCF,DCIT,FP,JP,NP,MI.  |