网站首页  词典首页


请输入您要查询的字词:

 

字词 肉桂
类别 中英文字词句释义及详细解析
释义 肉桂

【名称出处】:《唐本草》

【概况】:

异名 牡桂、菌桂(《本经》),紫桂(《药性论》),大桂(《唐本草》)、玉桂(《本草求原》),桂木(《山海经》),梫、木桂(《尔雅》),桂(《南方草本状》),糠桂(《中药大辞典》)。

基源 为樟科樟属植物肉桂的干皮和枝皮。樟属全世界约250种,中国约46种。

原植物 肉桂Cinnamomum cassia Presl

历史 肉桂始载于《本经》,列为上品,分为牡桂和菌桂。陶弘景曰“按《本经》惟有菌、牡二桂,而俗用桂大同小异,今俗用便有三种,以半卷多脂者单名桂,入药最多,……。”《唐本草》同意《本经》释:“菌者,竹名,古方用筒桂者是,故云三重者良,其筒桂亦有二、三重卷者,叶中三道文,肌理紧薄如竹,大枝小枝皮俱是菌桂,然大枝皮不能重卷,叶极淡薄,不入药用。今惟出韶州。

”“或云牡桂即今木桂及单名桂者也。此桂花、子与菌桂同,唯叶倍长,大小枝皮俱名牡桂。然大枝皮肉粗虚如木兰,肉少味薄,不及小枝皮也,小枝皮肉多半卷,中必皱起,味辛,美。

一名肉桂,一名桂枝、一名佳心,出融州,柳州,交州。”《本草拾遗》载:“菌桂、牡桂、桂心、已上三色,并同是一物。”苏颂在《图经本草》释:“今岭所出,则有菌桂、肉桂、官桂、板桂之名,而医家用之,罕有分别者,旧说菌桂正圆如竹,有二、三重者,则今所谓筒桂也。筒、菌字近,或传字之误耳。成云即肉桂也,牡桂皮薄、色黄、少脂肉,气如木兰,味亦相类,削去皮名桂心,今所谓官桂,疑是此也。桂是半卷多脂者,今所谓板桂,疑是此也。李时珍在《纲目》中云:“桂即牡桂之厚而辛烈者,牡桂即桂薄而味淡者,《别录》不当重出,今并为一。”近年出版的《新华本草纲要》载:“现在肉桂商品主产广西,有圆筒形的筒桂(又称桂通或官桂,常由5~6年幼树剥制,应注意官桂一名,两广产的多为本种,他省官桂为同属其它植物),企边桂(两侧向内卷,常由十多年生肉桂树剥制),板桂(老树干皮剥制),……。故认为《唐本草》、《图经本草》疑《本经》菌桂是字形相似的筒桂之讹,是正确的,李时珍谓桂即《本经》牡桂也是对的……。”综合上述文献考证,中国历来医家所用的菌桂、牡桂或筒桂同属一物,即为本种。

形态 乔木,高达18m;树皮灰褐色,枝黑褐色,有纵向细条纹,幼枝多少四棱形,黄褐色,密被灰黄色短绒毛,均有香味。叶柄粗壮,被黄色短绒毛,长1.2~2cm;叶片革质,互生或近对生,长椭圆形至椭圆状披针形,长8~16(34)cm,宽3.5~6cm,先端稍急尖,基部钝圆,边缘稍内卷,上面深绿色,有光泽,下面灰绿色,被黄色短绒毛,离基3出脉,在下面明显凸起,细脉横向近于平行。由多花组成腋生或近顶生的圆锥花序,长8~16cm;花梗和花序均被毛;花白色,花被片6,裂片卵状长圆形,两面均被毛,能育雄蕊9,3轮,第三轮雄蕊花丝中上部有1对肾形腺体,花药外向瓣裂,第一、二轮雄蕊花药均内向瓣裂;子房球形,无毛,花柱纤细。

果实椭圆形,长约1cm,直径约8mm,成熟时黑紫色,无毛;果托浅杯状,边缘截平或略具齿裂。花期6~8月,果期10~12月。

(图见《中国高等植物图鉴》第1册.818页.图1636)

生境与分布 原产中国福建、台湾、广东、海南、广西、贵州和云南等省的热带和亚热带地区广为栽培,尢以广西栽培最多。

。【生药】:

栽培 宜温暖湿润,阳光充足的环境。

以土层深厚、土质疏松、排水和透性良好的红黄壤土为宜。用种子育苗繁殖,在2~3月种子成熟时,随采随播,或用湿沙混藏,但时间不能过久,超过20天则发芽力会丧失。按行株距各15×3~4cm开沟条播,深3~4cm,播后覆土浇水、盖草,每亩用种量20kg。苗高10cm时间苗,每6cm留苗1株。3年后苗高1m时,于春季或秋季移栽,定植行株距各2×3m,栽后浇水定根。肉桂苗期需议棚遮荫,出苗后结合松土除草,揭去盖草,注意浇水及施肥造林后,每年必须中耕除草、追肥3次。

病害有立枯病,需拔除病株烧毁,并用鲜石灰粉消毒;褐斑病,可摘除病叶,两者均用1∶1∶150的波尔多液喷雾防治。虫害金龟子,用灯光诱杀,或用90%晶体敌百虫1000倍液喷杀。

采集 一般于8~10日间,选择桂树.按一定宽度剥取树皮,加工成不同的规格。 ❶ 官桂 剥取栽培5~6年的幼树干皮和粗枝皮,晒1~2天后,卷成圆筒状,阴干。
❷ 企边桂 剥取十余年生的干皮,两端削齐,夹在木制的凸凹板内,晒干。
❸ 板桂 剥取老年桂树的干皮,在离地30cm年作环状割口,将皮剥离,夹在桂夹内晒至九成干时取出,纵横堆叠,加压,约1个月后即完全干燥。

药材主产于广西、广东、云南。

鉴别

性状 树皮槽状或卷筒状,长30~40cm,宽或直径为3~10cm,厚2~8cm;外表面灰棕色,稍粗糙,有不规则的细皱纹及横问突起的皮孔,有的可见灰白色的地衣斑,内表面红棕色,略平坦,有细纵纹,划之显油痕。

质硬而脆,易折断,断面不平坦,外侧棕色而粗糙,内侧红棕色而油润,中间有一条黄棕色的线纹(石细胞环带)。有浓烈的特殊香气,味微甜、辛辣。

以皮细肉厚,断面紫红色,油性大,香气浓,味甜微辛,嚼之无渣者为佳。

显微 皮横切面:木栓细胞数列,最内层细胞外壁增厚,木化。

皮层散有石细胞及分泌细胞。中柱鞘部位有石细胞群,断续排列成环,外侧伴有纤维束,石细胞通常外壁较薄。

韧皮部射线宽1~2列细胞,含细小草酸钙针晶;纤维常2~3个成束;油细胞随处可见。

薄壁细胞含淀粉粒。 粉末红棕色,气芳香,味甘、微辣,带粘液性。 ❶ 纤维单个散在,少数2~3个并列成束,呈长梭形,边缘微波状或有凹凸,长195~680μm,直径24~50μm,壁厚,木化,纹孔及孔沟不明显,或孔沟稀少细短,胞腔线形。

❷ 石细胞呈类方形、类长方形、类圆形、圆多角形或椭圆形,有的一端稍尖突,直径32~88μm,壁厚至25μm,有的一边甚薄,少数胞腔内含草酸钙针晶束。
❸ 油细胞呈类球形或长圆形,直径68~108μm,含淡黄色挥发油滴。

❹ 草酸钙针晶成束或散在,长至43μm,也有稍粗成杆状;射线细胞中含针晶束较多。

另有少数长方片状结晶,宽至6μm。另可见木栓细胞及淀粉粒。(图见《中药材粉末显微鉴定》.图297)

理化 ❶ 肉桂的薄层色谱 1)取样品粉末0.5g,置具塞三角瓶中,加乙醇10ml,冷浸20分钟,时时振摇,滤过,滤液作为供试品溶液另取桂皮醛对照品,加乙醇溶解,制成每1ml含1mg的对照品溶液取供试品溶液和对照品溶液各2μl,分别点于一硅胶G板上,以石油醚(60~90℃)-乙酸乙酯(85∶15)为展开剂,以桂皮醛为对照。展距10cm,取出,晾干,喷以0.1%2,4二硝基苯肼试液,供试品在与对照品相应的位置上,显相同有橙红色斑点。(图见《中药材薄层色谱鉴别》.图202-1) 2)取样品粉末适量,用挥发油提取器提取挥发油,点于硅胶60F254板上,以氯仿甲醇-水(30∶10∶1)为展开剂,以桂皮醛、桂皮酸为对照。

展开后,置紫外光灯(254nm)下检视。(图见《中药材薄层色谱鉴别》,202-2A) 3)取上述挥发油,用无水乙醇稀释后,点于硅胶G板上,以苯为展开剂,以桂皮醛、桂皮酸为对照。

展开后,用2,4-二硝基苯肼试液显色。(图见《中药材薄层色谱鉴别》,图202-2B)❷ 肉桂与大叶清化桂不同部位的薄层色谱 取样品粉末适量,置挥发油测定器中提取挥发油,用乙醚溶解后,点于硅胶G上,以己烷-乙酸乙酯(9:1)为展开剂,以桂皮醛为对照。

展开后,用2,4-二硝基苯肼试剂显色。(图见《中药材薄层色谱鉴别》,图202-3)❸ 肉佳与桂皮的薄层色谱 取样品粉末适量,用石油醚振摇提取,滤过,滤液于室温下稍加挥散后,点于硅胶G-CMC板上,以苯-乙醇乙酯(9.5∶0.5)为展开剂,以桂皮醛为对照。展开后,用2,4-二硝基苯肼试液显色。(图见《中药材薄层色谱鉴别》.图202-4)

加工炮制 取原药材,除去杂质及粗皮,淋水润透,切成丝,低温干燥。

贮藏 密闭,置阴凉干燥处。。

【化学】:

肉桂皮中含挥发油(见肉桂油),鞣质等。

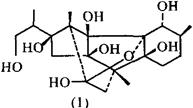
近从肉桂皮中分得十几个具有抗补体活性的二萜化合物,如锡兰肉桂素(Cinnzeylanin)、锡兰肉桂醇(Cinnzeylanol)、肉桂醇(Cinncassiol)A、A1、B(1),C1,C2,C3,D1,D2,D3及肉桂醇A1,B,C1,D1,D2的葡萄糖甙[1]

(1)

从茎皮中分得3-(2-羟基苯)丙酸及其葡萄糖甙,为具有抑制溃疡因素的活性成分[2]

另分得3,4,5-三甲氧基苯酚-1-0-β-D-芹呋喃糖-(1→6)-β-D-吡喃葡萄糖甙(3,4,5-Trimethoxyenol β-D-apiofuranosyl-(1→6)-β-D-glucopyranoside)、(±)-丁香树脂酚(Syrin-garesinol)等七个芳香族化合物[3];儿茶素、表儿茶素、前矢车菊素(Procyanidin)B1、B2、B4,B5,B7,C1、肉桂醇(Cinnamonol)D1,D2、锡兰单宁(Cinnamtanin)A2,A3、A4、前矢车菊素B2的6-C-葡萄糖甙及8-C-葡萄糖甙,表儿茶素的3-0-β-D-葡萄糖甙、6-C-β-D-葡萄糖甙及8-C-β-D-葡萄糖甙等十几个鞣质类化合物[4,5]。

从桂枝中分得反式肉桂酸、香豆素、原儿茶酸(Protocatechuic acid)、胆碱、香草酸(Vanillic acid)、β-谷甾醇、硫酸钾、微量葡萄糖及丁香酸(Syringic acid)。

另检测出Ca、Mg、Fe、Si、Na、Al.Zn、Mn、Ba、T1、等16种微量元素[6]

参考文献 [1] Chem Pharm Bull 1981;29:2451,2686,1980;28:1432,2682 [2] PLanta med 1989;55(3):245 [3] Phytochemistry 1983;22(1):215 [4] 药学杂志(日) 1982;102(2):162 [5] CHem Pharm Bull 1986;34(2):634,643 [6] 中药通报 1982;7(2):26,1984;9(3):127。

【药理】:

❶ 对心血管系统的作用 麻醉犬iV肉桂水煎液2g/kg,其冠状动脉和脑血流量增加,血管阻力下降。

水煎液及水溶甲醇部分均能使犬血压明显下降,并对外周血管有直接扩张作用[1]。大鼠ig肉桂水煎液1.8g/(kg.d),共3wk,能明显降低肾上腺皮质再生型高血压大鼠的血压,使尿醛固酮排出减少,还可显著增高纹状体和下丘脑的脑啡呔含量,明显改善脑主动脉内膜的高血压性损害[2]。大鼠ig肉桂水提物10g/kg或挥发油0.8ml/kg,共5d,可明显抑制冰水应激状态下的血清5’-核苷酸酶的活力升高及甘油三脂的含量增加,说明肉桂水提物及其挥发油对应激状态下内源性儿茶酚胺分泌增加所引的血小板聚集及心肌损伤具有一定的保护作用,使心肌细胞膜结合酶的异常变化得到一定的恢复[3]。肉桂煎剂ig1.2g/kg,连续6d对垂体后叶素所致兔急性心肌缺血有一定的改善[4]

肉桂醛增强豚鼠离体心脏的收缩力,加快心率,但在重复加药后,作用减弱,继而导致心脏抑制。使麻醉犬股动脉血流量增加(外周血管扩张),麻醉豚鼠血压下降。

对小鼠及豚鼠离体回肠平滑肌呈罂粟碱样作用,这种作用可能是使外周血管扩张的原因之一[5]。肉桂醛及肉桂酸钠可起蛙足蹼血管扩张[6]。肉桂醛对犬肾上腺儿茶酚氨有脱氨作用[7]。肉桂酸钠有扩张兔血管的作用,这种作用一部分是中枢性,一部分是末梢性[8]。总之,无论是肉桂的水煎剂或是挥发油及油中主要成分肉桂醛都有扩张血管,降低血压作用。这可能是肉桂“疏通血脉”作用的机理之一。

❷ 对血液系统的作用 肉桂水煎液体内、体外均能抑制ADP诱导的大鼠血小板聚集[1]。肉桂70%甲醇提取物与肉桂醛、肉桂酸体外对血小板聚集也有抑制作用,且有抗凝血酶效果,但无纤溶活性[9]

大鼠体外实验发现肉桂水煎液10,20mg/ml及水溶甲醇部分10,20,40mg/ml均能明显延长血浆复钙时间。

家兔iv肉桂水煎液1.2g/kg或水溶甲醇部分1.2g/kg,共5次,对纤维蛋白溶解活性也无明显影响。

体内实验还表明,肉桂70%甲醇提取物能抑制内毒素诱导的大鼠肝血栓形成,使血小板数及纤维蛋白原量减少,纤维蛋白分解产物增加[15]。肉桂的抗凝血及抗血栓形成作用可能是其“疏通血脉”作用的另一机理。

肉桂醛及肉桂酸钠可使家兔血白细胞数增加[6]。用致死量的60Co丙种射线照射犬,肉桂酸钠可使存活犬在辐射损伤的极期时,具有较高的外周血白细胞和血小板数[10]
❸ 对消化系统的作用 肉桂水提物100mg/kg ip能显著抑制寒冷应激及5-羟色胺引起的大鼠或小鼠胃溃疡。使幽门结扎大鼠的胃液分泌量减少,促进胃粘膜血流。认为其抗溃疡作用可能是对攻击因子(胃酸分泌和胃蛋白酶的产生)的抑制和对防御因子(胃粘膜血流量)的加强所致[11,12]。肉桂水提物中的3-(2-羟苯基)丙酸(Ⅰ)40mg/kg和化合物I的D-葡萄糖甙(Ⅱ)8μg/kgip对5-羟色胺诱导的大鼠胃溃疡抑制率分别达54%和42%。

剂量增高时化合物Ⅰ及Ⅱ的活性都有降低的趋势,其量效关系曲线呈铃形,化合物Ⅰ40μg/kg给大鼠iv能抑制水浸应激性及保泰松诱导的胃溃疡,ig能防止乙醇引起的胃溃疡,而对消炎痛引起的溃疡无效。十二指肠给药对阿斯匹林引起的溃疡有轻微抑制作用。化合物Ⅰ40μg/kg ig或十二脂肠给药对幽门结扎大鼠的胃液、胃酸及胃蛋白酶分泌量无明显影响,iv后3min大鼠胃血流量增加75%。指出化合物Ⅰ的抗溃疡作用是增加胃血流量和细胞保护作用的结果[13]。肉桂甙能抑制水浸应激性及乙醇、氢氧化钠、5-羟色胺、消炎痛引起的大鼠胃溃疡。对胃酸分泌量影响不大,但可大量增加胃血流量。

还可抑制5-羟色胺引起的胃运动亢进及乙醇所致的胃粘膜电位降低。说明肉桂甙的抗溃疡作用是促进胃血流量增加及抑制胃粘膜电位降低所致[14]

肉桂醛能抑制小鼠水浸应激性胃溃疡,并能促进麻醉大鼠胆液分泌,抑制其胃蠕动[5]
❹ 对中枢神经系统的作用 肉桂醛250,500mg/kg,ig可使小鼠自发活动减少,对抗甲基苯丙胺所致的过度活动及转棒试验时的运动失调;并能使环己烯巴比妥钠引起的小鼠睡眠时间延长;使兔脑电图的低压快波有增加的倾向,对声音刺激的惊醒波稍有延长[15]

另有实验表明,小鼠ip肉桂醛30mg/kg,可抑制自发活动,剂量大于100mg/kg时,首先出现过度兴奋或疾走发作,继之出现抑制作用,甚至有死亡例出现。剂量为125和250mg/kg时能抑制阿朴吗啡及脱氧麻黄碱引起的运动兴奋。

肉桂醛给予前24h用利血平处理的小鼠,其疾走发作阈值降低,甚至ip60mg/kg时,即有疾走发作例。肉桂醛还可明显对抗利血平所致的小鼠体温降低。剂量为500mg/kg时,肉桂醛可显著增加纹状体3,4-二羟基苯乙酸,香草高酸及5-羟基吲哚乙酸的含量。以上结果说明肉桂醛对中枢神经系统既有兴奋又能抑制作用[16]

2g/kg肉桂水提物可抑制戊四唑所引起的蜗牛腹足神经节细胞的电位变化[17]。而肉桂醛可通过脑干网状结构直接或间接的兴奋作用,产生中枢源性的脑电图激活[18]

肉桂对类脂多糖引起的兔发热有抑制作用[19]。肉桂醛及肉桂酸钠对温刺激引起发热的家兔有解热作用[8]。肉桂醛可使正常小鼠体温下降,且对伤寒,副伤寒混合菌苗引起的小鼠发热有解热作用[15]
❺ 抗菌作用 肉桂的乙醚,乙醇及水浸液浓度分别为1%~8%、1%~10%、1%~18%时体外对许兰氏黄癣菌及同心性毛癣菌等15种致病性真菌有抑制作用[20]。肉桂醛对结核杆菌等细菌有抑制作用,特别对革兰阳性菌抑制力强[21~24]。肉桂对表皮癣菌等真菌有强大的抑制作用[21,23,25]

肉桂的液态二氧化碳提取物(1∶1000)对大肠杆菌、金黄色葡萄球菌、溶血性链球菌等有较强的抑制作用[26]
❻ 抗炎免疫作用 从肉桂的丙酮提取物中分离出的6种鞣质,儿茶精、(一)表儿茶精、前矢车菊素B2、前矢车菊素B4,肉桂醇D1、肉桂醇D2都有较强的抑制肉芽生长的作用[27]

肉桂水提物1次给药(ip200mg/kg)能明显降低小鼠碳粒廓清指数及半数溶血值;连续给药5d,能明显减少幼鼠脾脏重量,对胸腺重量无明显影响,显示一定的免疫抑制作用[28]。肉桂水提物有抗补体活性。体外实验能抑制补体免疫溶血反应,对抗补体依赖性的Arthus反应。使大鼠马杉肾炎及免疫复合体肾炎的尿蛋白增加量降低。显示抗补体参予的变态反应性肾炎作用[29]。
❼ 其它作用 肉桂有很强的分解脂肪作用[30]

肉桂浸膏具的抑制肾上腺素及ACTH对脂肪酸游离,促进葡萄糖的脂肪合成作用。其活动性成分为肉桂醛和肉桂酸(肉桂醛作用远大于肉桂酸)[31]

肉桂能降低胰酶活性,这种作用与挥发油含量无关而与费林反应阳性物质有关[32]。肉桂水煎剂及挥发油能显著降低肾上腺皮质功能低下小鼠及大鼠升高的cGMp系统反应性[33]

毒性 肉桂醛对小鼠iv、ip、ig、的LD50分别为132、160、2225mg/kg,小剂量肉桂醛使其运动抑制,大剂量引起强烈痉挛、运动失调,呼吸急迫、最终麻醉而死亡[15]。临床应用发现,肉桂粉末大量po后发生毒性反应,表现为头晕、眼花目胀、咳嗽、尿少、口渴等。其毒性反应与其所含的肉桂油有关[34]

参考文献 [1] 中药通报 1981;6(5):32 [2] 中西医结合杂志 1986;6(6):353 [3] 中药药理与临床 1989;5(1):34 [4] 医药科技资料(广西壮族自治区药物研究所) 1979;(15):39 [5] Chem Pharm Bull 1975;23(5):941 [6] 中国生理科学会学术会议论文摘要汇编,药理,1964:132 [7] J Pharrnacobio-Dyn 1978;(2):89 [8] 日本药物学杂志 1942;35(2):176 [9] 国外医学中医中药分册 1982;(6):49 [10] 放射医学与防护 1974;(2):31 [11] Planta Medica 1986;(6):440 [12] 药学杂志(日) 1984;104:601 [13] Planta Medica 1989;55(3):245 [14] 国外医学中医中药分册 1988;(1):44 [15] 药学杂志(日) 1972;92(2):135 [16] 药学杂志(日) 1984;104(10):1095 [17] 生药学杂志(日) 1975;29(2):160 [18] Chem pharm Bull 1976;24(8):1978 [19] 生药学杂志(日) 1967;21(1):17 [20] 中华医学杂志 1958;44(8):754 [21] 药学杂志(日) 1953;73:690 [22] J pharm pharmacol l959;11:188 [23] 药学杂志(日) 1952;72:1131 [24] 化学 1950;12(2):39 [25] Indian J Pharm 1958;20(8):235 [26] CA 1968;69:944k [27] 药学杂志(日) 1982;102(2):169 [28] 广西医学 1984;(2):62 [29] 第13回和汉药シソポシゥム.巧玄舍,1980:72 [30] CA 1975;82:2691t [31] 汉方研究(日) 1982;(4):160 [32] 国外医学中医中药分册 1982;(6):46 [33] 中药药理与临床 1987;3(增刊):66 [34] 中医杂志 1962;(2):32。

【药性】:

性味 辛、甘,热。

❶ 《本经》:“辛,温。”
❷ 《别录》:“甘、辛,大热,有小毒。”
❸ 《药性论》:“苦、辛。”
❹ 《医学启源》:“热,大辛。”

归经 入肾、脾、膀胱经。 ❶ 《珍珠囊》:“太阳经、足少阴经。”
❷ 《雷公炮制药性解》:“入心、脾、肺、肾四经。”
❸ 《本草经疏》:“入手足少阴、厥阴血分。”

功效 补元阳,暖脾胃,除积冷,通血脉。

主治 命门火衰,肢冷脉微,亡阳虚脱,腹痛泄泻,寒疝奔豚,腰膝冷痛,经闭癥瘕,阴疽,流注,及虚阳浮越,上热下寒。 ❶ 《本经》:“主上气咳逆,结气喉痹吐吸,利关节,补中益气。”
❷ 《别录》:“主心痛,胁风,胁痛,温筋,通脉,止烦、出汗。主温中,利肝肺气,心腹寒热,冷疾,霍乱转筋,头痛,腰痛,止唾,咳嗽,鼻齆;能堕胎,坚骨节,通血脉,理疏不足;宣导百药,无所畏。”
❸ 《药性论》:“主治九种心痛,杀三虫,主破血,通利月闭,治软脚,痹、不仁,胞衣不下,除咳逆、结气、拥痹,止腹内冷气,痛不可忍,主下痢,鼻息肉。杀草木毒。”
❹ 《日华子本草》:“治一切风气,补五劳七伤,通九窍,利关节,益精,明目,暖腰膝,破痃癖癥瘕,消瘀血,治风痹骨节挛缩,续筋骨,生肌肉。”
❺ 《珍珠囊》:“去卫中风邪,秋冬下部腹痛。”
❻ 《医学启源》:“补下焦不足,治沉寒痼冷及表虚自汗。《主治秘要》:渗泄,止渴。”
❼ 《用药心法》:“散寒邪,治奔豚。”
❽ 王好古:“补命门不足,益火消阴。”
❾ 《纲目》:“治寒痹,风喑,阴盛失血,泻痢,惊痫。治阳虚失血,内托痈疽痘疮,能引血化汗化脓,解蛇蝮毒。”

用法用量 内服:煎汤,1.5~4.5g;或入丸、散。

外用:研末调敷或浸酒涂擦。

使用注意 阴虚火旺忌服,孕妇慎服。 ❶ 《别录》:“得人参、甘草、麦门冬、大黄、黄芩、调中益气;得柴胡、紫石英、干地黄,疗吐逆。”
❷ 《药对》:“忌石脂。”
❸ 《本草经疏》:“血崩血淋尿血,阴虚吐血咯血,鼻衄,齿衄,汗血,小便因热不利,大便因热燥结,肺热咳嗽,产后去血过多,及产后血虚发热,小产后血虚寒热,阴虚五心烦热,似中风口眼歪斜,失音不语,语言蹇涩,手足偏枯,中暑昏晕,中热腹痛,妇人阴虚少腹痛,一切温病热病头痛口渴,阳症发斑发狂,小儿痧症腹痛作泻,痘疮血热干枯黑陷,妇人血热经行先期,妇人阴虚内热经闭,妇人阴虚寒热往来,口苦舌干,妇人血热经行作痛,男妇阴虚,内热外寒,中暑泻利暴注如火热,一切滞下纯血,由于心经伏热,肠风下血,脏毒便血,阳厥似阴,梦遗精滑,虚阳数举,脱阴目盲等三十余证,法并忌之。”
❹ 《本草通玄》:“忌见火。”
❺ 《得配本草》:“痰嗽咽痛、血虚内燥、孕妇、产后血热,四者禁用。”
❻ 《本草求真》:“精亏血少,肝盛火起者切忌。”。

【临床应用】:

配伍应用 ❶ 配大黄,治肝郁气逆吐血,衄血,寒热错杂,胃脘疼痛,习惯性便秘。

❷ 配附子,治肾阳不足,腰痛膝冷,脾阳不振,寒冷腹痛,肺寒喘咳。
❸ 配黄连,治心肾不交之失眠。

方选和验方 ❶ 金匮肾气丸(《局方》)治肾气虚冷,下元惫冷,脐腹疼痛,夜多旋溺,脚膝缓弱,肢体倦怠,面色黧黑,不思饮食;脚气上冲,少腹不仁;虚劳不足,渴欲饮水,腰重疼痛,少腹拘急,小便不利;男子消渴,小便反多;妇人转胞,小便不通等证:牡丹皮、白茯苓、泽泻各90g,熟干地黄240g,山茱萸、山药各120g,附子(炮,去皮,脐)、肉佳(去粗皮)各60g。上为末,炼蜜丸如梧桐子大。

每服15~25丸,温酒下,空心食前,日2服。
❷ 右归丸(《景岳全书》)治元阳不足,命门火衰,脾胃虚寒,饮食少进,或呕恶膨胀,或翻胃噎膈,或怯寒畏冷,或脐腹多痛,或大便不实,泻痢频作,或小便自遗,虚淋寒疝,或寒侵溪谷而肢节痹痛,或寒在下焦而水邪浮肿,及真阳不足之神疲气怯,心跳不宁,四体不收,阳衰无子等证:大怀熟地240g,山药126g,山茱萸90g,枸杞120g,鹿角胶(炒珠)120g,菟丝子120g,杜仲(姜汤炒)120g,当归90g,(便溏勿用),肉桂60g(渐可加至120g),制附子60g(渐可加至180g)。

上药先将熟地蒸烂杵膏,加炼蜜丸如弹子大,每嚼服2~3丸,以滚白汤送下。
❸ 大顺散(《局方》)治冒暑伏热,引饮过多,脾胃受湿,水谷不分,清浊相干,阴阳气逆,霍乱呕吐,脏腑不调:甘草(锉,长3.3cm)1.5kg,干姜(炮炒)2kg,杏仁(去皮、尖、砂炒)2120g,肉桂(去粗皮,炙)2kg。

上先将甘草用白砂炒至八分黄熟,次入干姜同炒,至姜裂,次入杏仁又同炒,候杏仁不作声为度,用筛隔净,后入桂一处捣罗为散。

每服6g,水煎至7分,去滓温服。如烦躁,用井华水调下,不计时候。以沸汤点服亦得。

(按干姜、杏仁制法、药量原缺,据《普济方》引三宜汤补)。
❹ 桂心散(《圣惠方》)冶冷气攻心腹痛,多呕,不欲饮食:桂心30g,高良姜30g,当归30g(锉,微炒),草豆蔻45g(去皮),厚朴60g(去粗皮,涂生姜汁,炒令香熟),人参30g(去芦头)。

上件药,捣筛为散,每服9g,以水200ml,煎至6分,去滓,不计时候,稍热服。
❺ 大已寒丸(《局方》)治久寒积冷,心腹绞痛,胁肋胀满,泄泻肠鸣,自利自汗,米谷不化:荜茇、肉桂各2kg,干姜(炮)、高良姜各3kg。

上为细末,水煮面糊为丸,如梧桐子大。每服20粒,米饮汤下,食前服之。

❻ 桂附丸(《圣济总录》)治濡泻水利久不止:肉桂(去粗皮)、附子(炮裂,去皮、脐)干姜(炮)、赤石脂各30g。上4味,捣罗为末,炼蜜丸,如梧桐子大。

每服20丸,空心食前米饮下,日3服。

❼ 桂心汤(《姚僧坦集验方》)治寒疝气,来往冲腹痛:桂心120g,生姜90g,吴茱萸60g。

上3味,切,以酒500ml,煎至150ml,去滓,分温3服,如人行六七里,1服。忌生葱。

❽ 《方脉正宗》:“治奔豚疝瘕冲筑:肉桂、干姜、小茴香各15g,牡丹皮、木香、槟榔各6g,甘草1.5g。水煎服。”
❾ 桂附杜仲汤(《会约医镜》)治真寒腰痛,六脉弦紧,口舌青,阴半缩,身战栗:肉桂9g,附子9~12g(急则用生附子),杜仲6g。热服。
❿ 桂连丸(《普济方》)治小儿下痢赤白,腹痛不可食:桂心、黄连各等份。上为末,白糊丸小豆大30丸,米汤送下。

⑾桂肝丸(《万病回春》)治小儿睡中遗尿,不自觉者:官桂(为末),雄鸡肝1具,等份。捣烂,丸如绿豆大,温汤送下,日3服。

⑿桂姜汤(《外科全生集》)治虚寒阴火之喉痛,喉痹:肉桂、干姜、甘草各1.5g,各研极细末,滚水冲调,将碗顿于滚水内,再调,慢以咽下。

但先以鹅毛蘸桐油,入喉卷痰,痰出服用更效。 ⒀中医杂志1985;(6):“治寒湿凝滞型痛经:肉桂、公丁香、樟脑(可用冰片代)各30g。上药压碎,以三花酒500ml浸泡,1月后去渣。

用时将药滴舌面,先滴后咽。” ⒁新中医1982;(9):“治鞘膜积液寒湿内结:肉桂6g,煅龙骨15g,五倍子15g,枯矾15g。上药捣碎加水约700ml煎煮30分钟,取过滤液,待冷却到与皮肤温度相近时,将阴囊浸泡于药液内约30分钟。每2日1剂,连用8剂。

” ⒂胃腹乐热熨剂(《河南中医》1988;(3))治疗脘腹痛:肉桂50g,干姜50g,香附80g,良姜80g,荜茇40g,丁香15g,肉蔻30g,茯苓50g,附子30g,木香30g。将以上药物风干研碎成粉,另将铁粉、木粉置容器内,加入催化剂配成溶液,再将上述药物加入,搅拌均匀,装入袋内。

将药袋摩擦发热后固定在疼痛部位上,每次1袋,每日1次,7天为1疗程。根据病情用1~2个疗程。

⒃广西中医药1990;(2):“治疗肝硬化腹水:肉桂末6g,辣椒粉6g。醋适量,用醋将上药末混合调匀,分成3块小饼,然后分别敷在神阙穴和双侧曲泉穴上,外以胶布或伤湿膏粘贴,24小时除去药,连敷3次。

单方应用 ❶ 《圣惠方》:“治九种心痛,妨闷:桂心15g。末,以酒200ml,煎至100ml,去滓,稍热服。


❷ 《肘后方》:“治产后腹中瘕痛:桂(末),温酒服3g,日3。”
❸ 中西医结合杂志1984;(2):“治腰痛:肉桂粉每次5g,每日服2次,疗程为3周。”
❹ 中医杂志1983;(8):“治小儿口角流涎:取肉桂10g研成细末,醋调至糊状,每晚临睡前将药料匀摊于2块纱布上,分别贴敷于双侧涌泉穴,并用胶布固定,次日晨取下。”

食疗 ❶ 《古今家庭食疗方法精选》:“治脾肾阳虚型久泻不止,大便水样:肉桂3g,茯苓10g,双白皮共研成末,煎水取汁,入糯米50g煮粥食用。”
❷ 《古今家庭食疗方法精选》:“治肾阳虚,夜多小便症:母狗肉1kg,肉桂20g。煮烂。饮汤食肉,连吃3天。”。

【医药家论述】:

❶ 王好古《汤液本草》:“诸桂数等,皆大小老壮之不同。……《本草》所言有小毒,亦从类化,与黄芩、黄连为使,小毒何施;与乌附为使,止是全得热性;若与有毒者同用,则小毒既去,大毒转甚,与人参、麦门冬、甘草同用,能调中益气,则可久服。可知此药能护荣气而实卫气,则在足太阳经也,桂心入心,则在手少阴也。若指荣字立说,止是血药,故《经》言通血脉也。若与巴豆、硇砂、干漆、川山甲、水蛭、虻虫此有毒之类同用,则小毒化为大毒。

其类化可知矣。”
❷ 朱震亨:“桂心,入二、三分于补阴药中,则能行血药凝滞而补肾,由味辛属肺而能生水行血,外肾偏肿痛者亦验。”
❸ 张梓《药性类明》:“桂:导引阳气,调和荣卫之气,只是辛热助气上行阳道。血为营,气为卫,营卫不相合谐,桂能导引阳气宣通血脉,使气血同行。《局方》十全大补汤用四君子与黄芪补气,四物汤补血,内加桂者,是要其调和营卫之气,使四君子、四物皆得以成补之之功也。


❹ 姚能《药性辨疑》:“桂心,性最烈,不可多服,配二陈则行气之效大,配四物则行血之功速。”
❺ 李时珍《纲目》:“肉桂下行,益火之原,此东垣所谓肾苦燥,急食辛以润之,开腠理,致津液,通其气也。《圣惠方》言,桂心入心,引血化汗,化脓。

盖手少阴君火,厥阴相火,与命门同气者也。《别录》云,桂通血脉是矣。曾世荣言,小儿惊风及泄泻,并宜用五苓散以泻丙火,渗土湿,内有桂能抑肝风而扶脾土。

又《医余录》云有人患赤眼肿痛,脾虚不能饮食,肝脉盛,脾脉弱,用凉药治肝则脾愈虚,用暖药治脾则肝愈盛,但于温平药中倍加肉桂,杀肝而益脾,故一治两得之。

《传》云,木得桂而枯,是也。此皆与《别录》桂利肝肺气,牡桂治胁痛胁风之义相符,人所不知者,今为拈出,又桂性辛散,能通子宫而破血,故《别录》言其堕胎,庞安时乃云炒过则不损胎也。

又丁香、官桂治痘疮灰塌,能温托化脓。”
❻ 缪希雍《本草经疏》:“桂枝、桂心、肉桂,夫五味辛甘发散为阳,四气热亦阳;味纯阳,故能散风寒;目内充外,故能实表;辛以散之,热以行之,甘以和之,故能入血行血,润肾燥。其主利肝肺气、头痛、出汗、止烦、止唾、咳嗽、鼻齆,理疏不足,表虚自汗,风痹骨节柔痛者,桂枝之所治也。

以其病皆得之表虚不任风寒,寒邪客之所致,故悉主之,以其能实表祛邪也。

其主心腹寒热冷疾,霍乱转筋,腰痛,坠胎,温中,坚筋骨,通血脉,宣导百药无所畏,又补下焦不足,治沉寒痼冷,渗泄,止渴,止荣卫中风寒,秋冬下部腹痛因于寒,补命门,益火消阴者,肉桂之所治也。气薄轻扬,上浮达表,故桂枝治邪客表分之为病。

味厚甘辛大热,而下行走里,故肉桂、桂心治命门真火不足,阳虚寒动于中,及一切里虚阴寒,寒邪客里之为病。盖以肉桂、桂心甘辛而大热,所以益阳;甘入血分,辛能横走,热则通行,合斯三者,故善行血。”
❼ 倪朱谟《本草汇言》:“肉桂,治沉寒痼冷之药也。凡元虚不足而亡阳厥逆,或心腹腰痛而吐呕泄泻,或心肾久虚而痼冷怯寒,或奔豚寒疝而攻冲欲死,或胃寒蛔出而心膈满胀,或气血冷凝而经脉阻遏,假此味厚甘辛大热,下行走里之物,壮命门之阳,植心肾之气,宣导百药,无所畏避,使阳长则阴自消,而前诸证自退矣。”
❽ 张介宾《本草正》:“桂,善平肝木之阴邪,而不知善助肝胆之阳气,惟其味甘,故最补脾土,凡肝邪克土而无火者,用此极妙。与参、附、地黄同用,最降虚火,及治下焦元阳亏乏;与当归、川芎同用,最治妇人产后血瘀儿枕痛,及小儿痘疹虚寒,作痒不起。


❾ 郭佩兰《本草汇》:“肉桂,散寒邪而利气,下行而补肾,能导火归原以通其气,达子宫而破血堕胎,其气傈悍,能走能守之剂也。若客寒犯肾经,亦能冲达而和血气,脉迟在所必用。

其逐瘀、治疝、消痫有功者,盖血虽阴类,用之者必借此阳和耳。”
❿ 黄元御《玉楸药解》:“肉桂,温暖条畅,大补血中温气。香甘入土,辛甘入木,辛香之气,善行滞结,是以最解肝脾之郁。……凡经络堙瘀,脏腑癥结,关节闭塞,心腹疼痛等症,无非温气微弱,血分寒冱之故,以至上下脱泄,九窍不守,紫黑成块,腐败不鲜者,皆此症也。

女子月期、产后,种种诸病,总不出此,悉用肉桂,余药不能。肉桂本系树皮,亦主走表,但重厚内行,所走者表中之里,究其力量所至,直达脏腑,与桂枝专走经络者不同。” ⑾黄宫绣《本草求真》:“肉桂,气味甘辛,其色紫赤,有鼓舞血气之能,性体纯阳,有招导引诱之力。昔人云此体气轻扬,既能峻补命门,复能窜上达表,以通营卫,非若附子气味虽辛,复兼微苦,自上达下,止固真阳,而不兼入后天之用耳。

故凡病患寒逆,既宜温中,及因气血不和,欲其鼓舞,则不必用附子,惟以峻补血气之内,加以肉桂,以为佑使,如十全大补,人参养荣之类用此,即是此意。”

随便看

 

离鸟网收录3541549条中英文词条,其功能与新华字典、现代汉语词典、牛津高阶英汉词典等各类中英文词典类似,基本涵盖了全部常用中英文字词句的读音、释义及用法,是语言学习和写作的有利工具。

 

Copyright © 2004-2024 vtrois.com All Rights Reserved
更新时间:2026/4/19 18:26:45