聚司替右甲啡烷
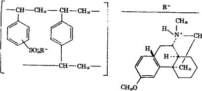
二乙烯基苯与磺化的乙烯基苯与(9α,13α,14α)-3-甲氧-17-甲基吗啡喃的聚合物。 Diethenylbenene polymer with ethenylbenene,sulfonated,complex with(9α,13α,14α)-3-methoxy-17-methylmorphinan. 磺化的苯乙烯-二烯乙苯共聚物与3-甲氧基-17-甲基-9α,-13α,14α-吗啡喃的复合物。 Sulfonated styrene-divinylbenzene copolymer complex with 3-methoxy-17-methyl-9α,13α,14α-morphinan. 镇咳药。用于急慢性支气管炎、咽喉炎、肺结核以及其它上呼吸道感染时的咳嗽。 Dextromethorphan Polistirex. USAN.  |