网站首页  词典首页


请输入您要查询的字词:

 

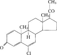
字词 群孕酮
类别 中英文字词句释义及详细解析
释义 群孕酮

C21H25ClO2=344.88

CAS-5192-84-7

6-氯-9β,10α-孕甾-1,4,6-三烯-3,20-二酮。

6-Chlore-9β,10α-pregna-1,4,6-triene-3,20-dione.

孕激素类药。

Trengestone,RO 48347,Retroid.

INN,DCF,USAN,MI.

随便看

 

离鸟网收录3541549条中英文词条,其功能与新华字典、现代汉语词典、牛津高阶英汉词典等各类中英文词典类似,基本涵盖了全部常用中英文字词句的读音、释义及用法,是语言学习和写作的有利工具。

 

Copyright © 2004-2024 vtrois.com All Rights Reserved
更新时间:2026/4/18 17:21:48