网站首页  词典首页


请输入您要查询的字词:

 

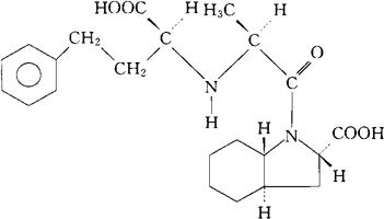
字词 群多普利拉
类别 中英文字词句释义及详细解析
释义 群多普利拉

C22H30N2O5=402.49

CAS-87679-71-8

(2S,3aR,7aS)-1-[(S)-N-[(S)-1-羧-3-苯基丙基]丙氨酰]六氢-2-二氢吲哚羧酸。

(2S,3aR,7aS)-1-[(S)-N-[(S)-1-Carboxy-3-phenylpropyl]alanyl]hexahydro-2-indolinecarboxylic acid.

抗高血压药,增压素转化酶抑制药。

Trandolaprilat,Ru 44403.

INN,USAN.

随便看

 

离鸟网收录3541549条中英文词条,其功能与新华字典、现代汉语词典、牛津高阶英汉词典等各类中英文词典类似,基本涵盖了全部常用中英文字词句的读音、释义及用法,是语言学习和写作的有利工具。

 

Copyright © 2004-2024 vtrois.com All Rights Reserved
更新时间:2026/4/19 2:49:40