网站首页  词典首页


请输入您要查询的字词:

 

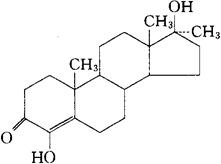
字词 羟甲睾酮
类别 中英文字词句释义及详细解析
释义 羟甲睾酮

C20H30O3=318.46

CAS-145-12-0

4,17β-二羟-17-甲基雄甾-4-烯-3-酮。

4,17β-Dihydroxy-17-methylandrost-4-en-3-one.

4-羟-17-甲基睾酮。

4-Hydroxy-17-methyltestosterone.

雄激素,蛋白同化激素。

Oxymesterone,Methandrostenediolone,Anamidol,Balnimax,Oranabol,Ossimesterone,Oxymestrone, Sanaboral,Theranabol,Tubil.

INN,BAN,DCF,USAN,MI.

随便看

 

离鸟网收录3541549条中英文词条,其功能与新华字典、现代汉语词典、牛津高阶英汉词典等各类中英文词典类似,基本涵盖了全部常用中英文字词句的读音、释义及用法,是语言学习和写作的有利工具。

 

Copyright © 2004-2024 vtrois.com All Rights Reserved
更新时间:2026/4/18 8:19:41