网站首页  词典首页


请输入您要查询的字词:

 

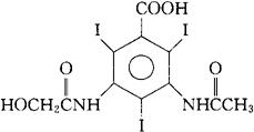
字词 羟泛影酸
类别 中英文字词句释义及详细解析
释义 羟泛影酸

C11H9I3N2O5=629.92

CAS-19863-06-0

3-乙酰胺基-5-羟乙酰胺基-2,4,6-三碘苯甲酸。

3-Acetamido-5-hydroxyacetamido-2,4,6-triiodobenzoic acid.

造影药。

Ioxotrizoic Acid.

INN,USAN.

随便看

 

离鸟网收录3541549条中英文词条,其功能与新华字典、现代汉语词典、牛津高阶英汉词典等各类中英文词典类似,基本涵盖了全部常用中英文字词句的读音、释义及用法,是语言学习和写作的有利工具。

 

Copyright © 2004-2024 vtrois.com All Rights Reserved
更新时间:2026/4/18 21:25:28