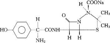
羟氨苄青霉素钠
C16H18N3Na5S=387.4 CAS-34642-77-8 (6R)-6-(α-D-4-羟苯基甘氨酰氨基)青霉烷酸钠。 Sodium(6R)-6-(α-D-4-hydroxyphenylglycylamino)penicillanate. (2S,5R,6R)-6-[(R)-(-)-2-氨基-2-(对-羟基苯基)乙酰胺基]-3,3-二甲基-7-氧-4-硫杂-1-氮杂双环[3.2.0]庚烷-2-羧酸钠盐。 (2S,5R,6R)-6-[(R)-(-)-2-Amino-2-(p-hydroxyphenyl)acetamido]-3,3-dimethyl-7-oxo-4-thia-1-azabicyclo[3.2.0]heptane-2-carboxylic acid sodiumsalt. 抗生素类药。 阿莫西林钠。 Amoxicilline Sodium. INN(Amoxicillin),BAN(Amoxycillin),BP.  |