网站首页  词典首页


请输入您要查询的字词:

 

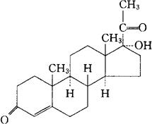
字词 羟孕酮
类别 中英文字词句释义及详细解析
释义 羟孕酮

C21H30O3=330.45

CAS-68-96-2

CAS-630-56-8(hydroprogesterone caproate)

17-羟孕甾-4-烯-3,20-二酮。

17-Hydroxypregn-4-ene-3,20-dione.

4-孕烯-17α-醇-3,20-二酮。

4-Pregnen-17α-ol-3,20-dione.

孕激素类药。

Hydroxyprogesterone,Gestageno,Prodox.

MI.

随便看

 

离鸟网收录3541549条中英文词条,其功能与新华字典、现代汉语词典、牛津高阶英汉词典等各类中英文词典类似,基本涵盖了全部常用中英文字词句的读音、释义及用法,是语言学习和写作的有利工具。

 

Copyright © 2004-2024 vtrois.com All Rights Reserved
更新时间:2026/4/19 20:57:30