网站首页  词典首页


请输入您要查询的字词:

 

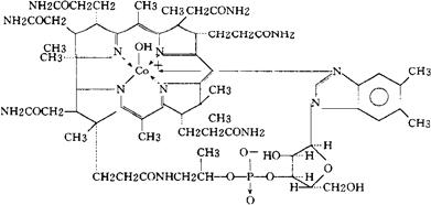
字词 羟基钴胺
类别 中英文字词句释义及详细解析
释义 羟基钴胺

C62H89CoN13O15P=1346.37

CAS-13422-51-0

Coα-[α-(5,6-二甲基苯并咪唑基)]Coβ-水合钴胺。

Coα-[α-(5,6-Dimethylbenzimidazolyl)[-Col3-hydroxocolamide.

钴啉醇酰胺二氢氧化物二氢磷酸酯单(内盐),5,6-二甲基-1-α-D-呋喃核糖基苯并咪唑-3′-酯。

Cobinamide,dihydroxide,dihydrogen phosphate(ester),mono(inner salt),3′-ester with 5,6-dimethyl1-α-D-ribofuranosylbenzimidazole.

抗贫血药。

用于治疗恶性贫血、神经痛、肝实质损害、巨红血球贫血与接触性皮炎、氰化物中毒的解毒剂。

羟钴胺,维生素B12。

Hydroxocobalamin(e),Hydroxocobemine,Alphacobione,AlphaRed-isol,Vitamin B12a,Cobalex,Codroxomin,Docelan,Docevita,Ducobee-Hy,Neo-betalin-12,Sytobex-H,OHB12

INN,BAN,BP,DCF,DCIT,FP,IP,JAN,NF,USAN,USP,MI.

随便看

 

离鸟网收录3541549条中英文词条,其功能与新华字典、现代汉语词典、牛津高阶英汉词典等各类中英文词典类似,基本涵盖了全部常用中英文字词句的读音、释义及用法,是语言学习和写作的有利工具。

 

Copyright © 2004-2024 vtrois.com All Rights Reserved
更新时间:2026/4/20 19:39:42