网站首页  词典首页


请输入您要查询的字词:

 

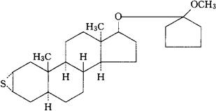
字词 美雄烷
类别 中英文字词句释义及详细解析
释义 美雄烷

C25H40O2S=404.65

CAS-21362-69-6

2α,3α-环硫-5α-雄甾烷-17β-基环戊酮甲基乙缩醛。

Cyclopentanone 2α,3α-epithio-5α-androstan-17β-yl methyl aceta[.

2α,3α-环硫-17-[(1-甲氧环戊基)氧]雄甾烷。

2α,3α-Epithio-17-[(1-methoxycyclopentyl)oxy]androstane.

抗肿瘤药,抗雌激素药。

Mepitiostane,Thioderon,10364-S.

INN,JAN,USAN.

随便看

 

离鸟网收录3541549条中英文词条,其功能与新华字典、现代汉语词典、牛津高阶英汉词典等各类中英文词典类似,基本涵盖了全部常用中英文字词句的读音、释义及用法,是语言学习和写作的有利工具。

 

Copyright © 2004-2024 vtrois.com All Rights Reserved
更新时间:2026/4/18 3:33:35