网站首页  词典首页


请输入您要查询的字词:

 

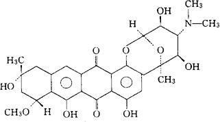
字词 美诺立尔
类别 中英文字词句释义及详细解析
释义 美诺立尔

C28H31NO10=541.55

CAS-71628-96-1

[2R-(2α,3β,4α,5β,6α,11α,13α)]-4-(二甲氨基)-3,4,5,6,11,12,13,14-八氢-3,5,8,10,17-五羟-11-甲氧-6,13-二甲基-2,6-环氧-2H-并四苯基[1,2-b]氧辛-9,16-二酮。

[2R-(2α,3β,4α,5β,6α,11α,13α)]-4-(Dimethylamino)-3,4,5,6,11,12,13,14-octahydro3,5,8,10,13-pentahydroxy-11-methoxy-6,13-dimethyl-2,6-epoxy-2H-naphthaceno[1,2-b]oxocin9,16-dione.

(2R,3S,4R,5R,6R,11R,13R)-4-(二甲氨基)-3,4,5,6,11,12,13,14-八氢-3,5,8,10,13-五羟-11-甲氧-6,13-二甲基-2,6-环氧-2H-并四苯基[1,2-b]氧辛-9,16-二酮。

(2R,3S,4R,5R,6R,11R,13R)-4-(Dimethylamino)-3,4,5,8,11,12,13,14-octahydro-3,5,6,10,13-pentahydroxy-11-methoxy-6,13-dimethyl-2,6-epoxy2H-naphthaceno[1,2-b]oxocin-9,16-dione.抗肿瘤药。

Menogaril,U-52,047,NSC-269148,Tomosar.

INN,DCF,USAN.

随便看

 

离鸟网收录3541549条中英文词条,其功能与新华字典、现代汉语词典、牛津高阶英汉词典等各类中英文词典类似,基本涵盖了全部常用中英文字词句的读音、释义及用法,是语言学习和写作的有利工具。

 

Copyright © 2004-2024 vtrois.com All Rights Reserved
更新时间:2026/4/18 9:51:36