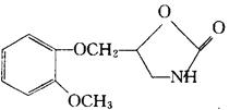
美芬噁酮
C11H13NO4=223.23 CAS-70-07-5 5-[(邻-甲氧苯氧)甲基]-2-噁唑烷酮。 5-[(o-Methoxyphenoxy)methyl-2-oxazolidinone.解痉药。 Mephenoxalone,Lenetran,Metoxadone,Controlom,Dorsiflex,Dorsilon,Ekilan,Methoxydone,Placidex,Riself,Tranpoise,Trepidone,Xerene. INN,DCF,NFN,USAN,MI.  |