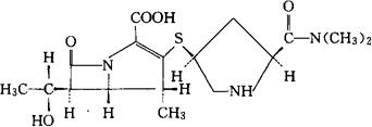
美罗培南
C17H25N3O5S=383.46 CAS-96036-03-2 (4R,5S,6S)-3-[(3S,5S)-5-二甲氨基甲酰吡咯烷-3基硫]-6-[(R)-1-羟乙基]-4-甲基-7-氧代-1-氮杂双环[3.2.0]庚-2-烯-2-羧酸。 (4R,5S,6S)-3-[(3S,5S)-5-Dimethylcarbamoylpyrro-lidin-3ylthio]-6-[( R)-1-hydroxyethyl]-4-methyl-7-oxo-1-azabicyclo[3.2.0]hept-2-ene-2-carboxylic acid. 抗生素类药。 麦罗派南。 Meropenem,ICI 194660. INN,BAN,USAN.  |