网站首页  词典首页


请输入您要查询的字词:

 

字词 美索达嗪
类别 中英文字词句释义及详细解析
释义 美索达嗪

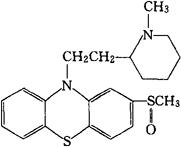
C21H26N2OS2=386.57

CAS-5588-33-0

10-[2(1-甲基-2-哌啶基)乙基]-2-(甲基亚磺酰)吩噻嗪。

10-[2(1-Methyl-2-piperidyl)ethyl]-2-(methylsulfinyl)phenothiazine.

安定药。

美速达嗪。

Mesoridazine,Lidanar.

INN,BAN,DCF,NF,NFN,USAN,USP,MI.

随便看

 

离鸟网收录3541549条中英文词条,其功能与新华字典、现代汉语词典、牛津高阶英汉词典等各类中英文词典类似,基本涵盖了全部常用中英文字词句的读音、释义及用法,是语言学习和写作的有利工具。

 

Copyright © 2004-2024 vtrois.com All Rights Reserved
更新时间:2026/4/19 11:28:52