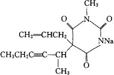
美索比妥钠
C14H17N2NaO3=284.29 CAS-309-36-4(±-) CAS-60634-69-7 (±)-1-甲基-5-(1-甲基-2-戊炔基)-5-(2-丙烯基)-2,4,6(1H.3H,5H)-嘧啶三酮,单钠盐。 (±)-1-Methyl-5-(1-methyl-2-pentynyl)-5-(2-propenyl)-2,4,6(1H,3H,5H)-pyrimidinetrione,monosodium salt. 5-烯丙基-1-甲基-5-(1-甲基-2-戊炔基)巴比土酸钠。Sodium 5-allyl-1-methyl-5-(1-methyl-2-pentynyl)-barbiturate. 催眠镇吐药,麻醉药。 甲海西妥钠。 Methohexital Sodium,Brevital Sodium,Brietal,Brevane. BAN(Methohexital),USAN,USP.  |