网站首页  词典首页


请输入您要查询的字词:

 

字词 美索比妥
类别 中英文字词句释义及详细解析
释义 美索比妥

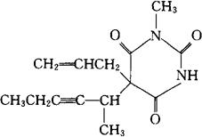
C14H18N2O3=262.31

CAS-18652-93-2

5-烯丙基-1-甲基-5-(1-甲基-2-戊炔基)巴比土酸。

5-Allyl-1-methyl-5-(1-methyl-2-pentynyl)barbituricacid.

5-烯丙基-1-甲基-5-(1-甲基-2-戊炔基)-2,4,6(1H,3H,5H)-嘧啶三酮。

5-Allyl-1-methyl-5-(1-methyl-2-pentynyl)-2,4,6(1H,3H,5H)-pyrimidinetrione.

催眠镇静药。

甲海西妥。

Methohexital,Brevital.

USAN,USP.

随便看

 

离鸟网收录3541549条中英文词条,其功能与新华字典、现代汉语词典、牛津高阶英汉词典等各类中英文词典类似,基本涵盖了全部常用中英文字词句的读音、释义及用法,是语言学习和写作的有利工具。

 

Copyright © 2004-2024 vtrois.com All Rights Reserved
更新时间:2026/4/18 0:21:13