网站首页  词典首页


请输入您要查询的字词:

 

字词 美登木
类别 中英文字词句释义及详细解析
释义 美登木

【名称出处】:《中国高等植物图鉴》

【概况】:

基源 为卫矛科美登木属植物美登木的叶。

美登木属全世界约225种;中国约产20种,大多数入药。

原植物 美登木Maytenus hookeri Loes.

形态 有刺灌木,高达4m。小枝无长短枝的区别。叶互生,通常呈螺旋状排列;无托叶;叶柄长5~10mm;叶片宽椭圆形或倒卵形,长10~20cm,先端短渐尖或急尖,基部渐狭,边缘有极浅疏齿,叶脉两面突起。花小,两性花,排列成腋生的圆锥聚伞花序,常2~7枝丛生,无明显的总花梗,每花序有3至多花;花绿白色,5数,径3~4mm;雄蕊5,生于花盘之下;子房基部和花盘合生,每室有胚珠2颗。蒴果倒卵形,长约1cm,直径约8mm,2~3室,成熟时为室背开裂,呈2~3个果瓣。

每室有种子1~2粒,长卵形,棕色,基部有浅杯状淡黄色假种皮。(图见《中国高等植物图鉴》.第2册.662页.图3054)

生境与分布 生于山地丛林及山谷密林内。

分布于云南南部。印度也有分布。

。【生药】:

栽培 宜热带气候,较荫湿的环境。

对土壤要求不严,但在腐殖质土、冲积土、森林红壤中生长为佳。用种子繁殖,于10~12月采收褐色斑块的成熟蒴果,随采随播。

如暂不能播种,必须在湿沙中保存种子。播前须剥取种子,并用40℃温水浸种24小时,然后按株行距5×10cm点播于苗床。

播后盖0.5cm薄土,再覆盖稻草,保持土壤湿润。出苗后揭草,进行松土除草、追肥、浇水等管理。

苗高5~6cm时,按株行距20×25cm带土移苗1次。当幼苗高40~50cm即可出圃定植。

以株行距各2~3m左右穴栽。

栽后浇水定根,以利成活。

在育苗期间须搭设高80cm的荫棚,保持荫蔽度60%~70%。生长期中注意肥、水和中耕除草的管理。

也可将健壮枝条进行扦插繁殖。虫害有美登木巢蛾和美登小灰巢蛾为害叶片和叶肉组织,可在卵孵化期或幼虫3龄前,喷洒90%敌百虫500倍液防治。

。【化学】:

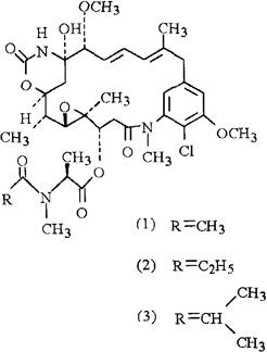
全株含抗癌活性成分美登木素(Maytansine)(1)、美登普林(Maytanprine)(2)[1,2]和美登布丁(Maytanbutine)(3)[3]

参考文献 [1] 化学学报 1981;39(5):427 [2] 新华本草纲要.第1册.上海科学技术出版社 1988:313;植物药有效成分手册,人民卫生出版社,1986:707 [3] 化学学报 1981;39(9):933

【药理】:

❶ 抗癌作用 体外试验表明,白血病P388对美登木素最敏感,其ED50为6×10-10mol/L(处理48h后),对白血病L1210、L5178Y的ED50分别为2×10-9mol/L1.5×10-9mol/L,小鼠ip美登木素25~50μg/kg,每日1次,共10次,即可明显延长对长春新碱敏感(对耐药的无效)的P388瘤鼠的生存时间,其有效剂量比长春新碱低10倍[1]

另有报告,美登木素ip给药,连续5~10次,每日1次,25或50μg/kg时不仅对白血病P388小鼠有延长生命作用,而且能使白血病L1210,肝癌腹水瘤及Ehrlich腹水瘤小鼠生存时间延长;40μg/kg时对瓦克癌肉瘤腹水型大鼠也有明显延长生存时间的作用;但15~30μg/kg时,对小鼠白血病L615,肉瘤180,lewis肺癌,脑瘤22无明显效果,剂量加大到50μg/kg时,对后3种肿瘤有一定疗效;美登普林每日以15~25μg/kg的量连续ip5~10d除有抗白血病(小鼠白血病P388、L1210、L615)作用外,对小鼠肉瘤180、Lewis肺癌、脑瘤22、肝癌腹水瘤、Ehrlich腹水瘤及大鼠瓦克癌肉瘤也均有~定疗效[2];10-7mol/L美登木素处理L1210、L5178Y及P388细胞后24h,胸腺嘧啶核苷掺入DNA的抑制率分别为47,73及86%,说明对DNA合成有较强抑制作用;而RNA及蛋白质合成所受影响较小。L1210细胞经10-8mol/L美登木素处理24h后,有丝分裂相高达30%,而对照细胞仅3%,提示美登木素有停止核分裂相于某一期的作用;抑制DNA生物合成及中止细胞有丝分裂的特殊时相,可能为美登木素杀伤癌细胞的作用方式[1]。美登木素6×10-8mol/L时,对海胆和海蛤卵的细胞分裂有不可逆的抑制作用,效果比长春新碱强100倍;它能影响丝状分裂器的形成或使其消失,并可抑制微小管向中心聚合[3]。美登木素和美登普林对KB细胞有抑制作用,ED50分别为0.0000061μg/ml及0.00000014μg/ml;美登木素类化合物抗癌构效关系的研究表明c-3位的酯基对抗癌活性是必要的,c-9位上的酰胺基甲醇(Carbinolamide)也是需要的,如果断裂则可显著的降低其抗白血病及细胞毒性,也轻度降低其抗微管的活性[4]

国产美登木提取物的甲醇部位、中性部位及WT7部位对小鼠EAC、S180也均有抗癌作用[7]
❷ 抗菌作用 美登木素体外对44株不同菌株敏感性试验表明,对7种细菌及4种皮肤真菌无拮抗作用;7种酵母菌,只有新型隐球酵母较敏感;10种植物病原真菌中,除棉花炭疽菌不敏感外,其它9种都有不同程度的敏感性;16株丝状真菌,只有青霉菌3.698有较强敏感性,棒状青霉菌和青霉菌138也有一定敏感性,其余菌株不敏感。

提示美登木素对原核生物拮抗作用不明显而对真核生物有生长抑制作用。美登木素对油菜菌核病菌、水稻纹枯病菌、榛色青霉菌3.698、新型隐球酵母菌的最低抑菌浓度分别为0.8,1.56,12.5,25μg/ml;其余各细菌及真菌的最低抑菌浓度都大于200μg/ml。用纸片平板扩散法测得美登木素对油菜菌核病菌、水稻纹枯病菌和榛色青霉菌3.698的最小敏感剂量分别为0.005,0.02,0.2μg/片。美登木素能被离体的大白菜叶片内吸而发挥抗菌防病作用[5]

毒性 BDF1小鼠ip美登木素,雄鼠与雌鼠的LD50分别为0.61,0.57mg/kg。犬iv美登木素1次的致死量为0.12mg/kg,连续iv 5次的致死量为0.06mg/kg;猴连续iv 5次的致死量为0.24mg/kg。

中毒的犬与猴血红蛋白降低、白细胞及网织红细胞减少,骨髓造血功能显著受抑制,末梢血及淋巴组织中淋巴细胞减少;肝肾功能异常,使肝脂肪性变;并有食欲降低、呕吐、血便、体重减轻等出现;致死量时出现心肌退行性变[6]

参考文献 [1] Biochem Pharmacol 1975;24(6):751 [2] 药学通报1982;17(5):303 [3] Science 1975;189(4207):1002 [4] J.Med Chem 1978;21(1):31 [5] 微生物学通报 1982;(6):277 [6] 中草药通讯1978;(4):48 [7] 热带植物研究 1978;(11):1。【药性】:

性味 苦,寒。

功效 活血化瘀。

主治 癌症初期。

用法用量 内服:煎汤,3~6g。

【临床应用】:

单方应用 ❶ 新医学 1978;(3):“治疗恶性肿瘤: 1)美登木片剂,每片含美登木的甲醇提取物20mg,相当于生药20g(茎杆)或4g(叶)。每次剂量暂定为80~160mg,每日3~4次。根据年龄、体重、病情可适当增减。

2)美登木煎剂:根据中医辨证施治原则,选单方美登木作为攻药的治本药,用量每日60~90g,在肿瘤病人机体状态尚好,正气胜于邪气时,以攻为主。美登木可单独应用,或配以适量的扶正药物。在肿瘤晚期,正不压邪,或正邪平行,此期可先补后攻或攻补兼施。30天为1疗程。

如果第1疗程疗效出现,可保持原来剂量,一直使用到症状改善,肿瘤缩小。如果第1疗程无效或效差,第2疗程再将剂量加大为原来的1.5~2倍。

如仍无效,可暂定为无效。

不良反应:个别人服片剂轻微口渴,单方水煎剂空腹服后,少数人有轻度恶心。”
❷ 广西医学 1981;(1):“治疗原发性肝癌:美登木注射液,每天肌注2~3次,每次2ml,10~14天为1疗程。停3~7天,再进行第2疗程,一般能坚持2~3个疗程,以后院外治疗定期送药上门,单日量最少2ml肌注,每日1次,最大的用量是2ml,肌注,每天4次,给药总量最少40支,最多达300支。


❸ 《常用抗肿瘤中草药》:“治疗消化系统肿瘤如胃癌、食管癌、肝癌,亦用于宫颈癌、肺癌、鼻咽癌等:云南美登木片(甲醇提取物)每片20mg,每次40~80mg,每日3次。如无不良反应,可适当增量。

煎剂:单方或复方,每次用量30~60g。”

随便看

 

离鸟网收录3541549条中英文词条,其功能与新华字典、现代汉语词典、牛津高阶英汉词典等各类中英文词典类似,基本涵盖了全部常用中英文字词句的读音、释义及用法,是语言学习和写作的有利工具。

 

Copyright © 2004-2024 vtrois.com All Rights Reserved
更新时间:2026/4/18 5:30:54