美洛西林钠
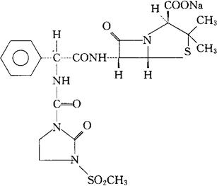
C21H24NaN5O8S2=561.56 CAS-42057-22-7 CAS-59798-30-0 [2S-[2α,5α,6β(S*)]]-3,3-二甲基-6-[[[[[(3-甲磺酰)-2-氧代-1-咪唑烷基]羰基]氨基]苯乙酰]氨基]-7-氧代-4-噻-1-氮杂双环[3.2.0]庚烷-2-羧酸,单钠盐。 [2S-[2α,5α,6β(S*)]]-3,3-Dimethyl-6-[[[[[(3-methylsulfonyl)-2-oxo-1-imidazolidinyl]carbonyl]amino]phenylacetyl]amino]-7-oxo-4-thia-1-azabicyclo[3.2.0]heptane-2-carboxylic acid,monosodium salt. (2S,5R,6R)-3,3-二甲基-6-[(R)-2-[(3-甲磺酰)-2-氧代-1-咪唑烷羧酰胺基]-2-苯乙酰胺基]-7-氧代-4-噻-1-氮杂双环[3.2.0]庚烷-2-羧酸钠盐。 Sodium(2S,5R,6R)-3,3-dimethyl-6-[(R)-2-[(3-methylsulfonyl)-2-oxo-1-imidazolidinecarboxamido]-2-phenylacetamido]-7-oxo-4-thia-1-azabicyclo[3.2.0]heptane-2-carboxylate. 抗菌药。 美唑西林钠。 Mezlocillin Sodium,Baycipen,Baypen,Mezlocillin Sodium. JAN,USAN,USP.  |