美沙噻嗪
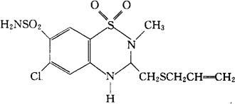
C12H16ClN3O4S3=397.91 CAS-5611-64-3 6-氯-3,4-二氢-2-甲基-3-[(2-丙烯基硫代)甲基]-2H-1,2,4-苯并噻二嗪-7-磺酰胺,1,1-二氧化物。 6-Chloro-3,4-dihydro-2-methyl-3-[(2-propenylthio)methyl]-2H-1,2,4-benzothiadiazine-7-sulfonamide,1,1-dioxide. 3-[(烯丙基硫代)甲基]-6-氯-3,4-二氢-2-甲基-2H1,2,4-苯并噻二嗪-7-磺酰胺1,1-二氧化物。 3-[(Allylthio)methyl]-6-chloro-3,4-dihydro-2-methyl-2H-1,2,4-benzothiadiazine-7-sulfonamide 1,1-dioxide. 利尿药,抗高血压药。 Methalthiazide,P-2530. USAN.  |