网站首页  词典首页


请输入您要查询的字词:

 

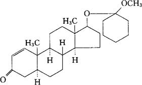
字词 美沙勃龙
类别 中英文字词句释义及详细解析
释义 美沙勃龙

C26H40O3=400.60

CAS-7483-09-2

17β-[1-(甲氧环己基)氧]-5α-雄甾-1-烯-3-酮。

17β-[(1-Methoxycyclohexyl)oxy]-5α-androst-1-en3-one.

同化激素类药,雄激素药。

Mesabolane.

INN,DCIT,USAN.

随便看

 

离鸟网收录3541549条中英文词条,其功能与新华字典、现代汉语词典、牛津高阶英汉词典等各类中英文词典类似,基本涵盖了全部常用中英文字词句的读音、释义及用法,是语言学习和写作的有利工具。

 

Copyright © 2004-2024 vtrois.com All Rights Reserved
更新时间:2026/4/18 7:50:29