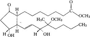
美昔前列素
C23H40O6=412.57 CAS-88980-20-5 甲基(1R,2R,3R)-3-羟-2-[(E)-(3R)-3-羟-4-甲氧-4-甲基辛基]-5-氧代环戊烷庚酸盐。 Methyl(1R,2R,3R)-3-hydroxy-2-[(E)-(3R)-3-hydroxy-4-methoxy-4-methyloctyl]-5-oxocyclopentaneheptanoate. 11,15-二羟-16-甲氧-16-甲基-9-氧代前列腺-13-烯-1-酸甲酯。 11,15-Dihydroxy-16-methoxy-16-methyl-9-oxoprost13-en-1-oic acid methyl ester. 前列腺素类药(抗胃液的分泌),细胞免疫药。 Mexiprostil,MDL 646. INN,USAN.  |