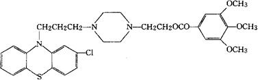
美托奋乃静
C31H36ClN3O5S=598.18 CAS-388-51-2 2-[4-[3-(2-氯吩噻嗪-10-基)丙基]-1-哌嗪基]乙基3,4,5-三甲氧基苯甲酸酯。 2-[4-[3-(2-Chlorophenothiazin-10-yl)propyl]-1-piperaqzinyl]ethyl 3,4,5-trimethoxybenzoate. 安定药。 美托奋乃酯。 Metofenazate,Methophenazine,Frenolon,Phecnolon,Sylador. INN,NFN,USAN,MI. 
|